giaitoan.edu.vn giới thiệu đến quý thầy, cô giáo và các em học sinh đề cương ôn thi cuối học kì 1 môn Toán 9 năm học 2025 – 2026 trường THCS Lê Quang Cường, thành phố Hồ Chí Minh.
CHỦ ĐỀ 1: PHƯƠNG TRÌNH VÀ HỆ PHƯƠNG TRÌNH.
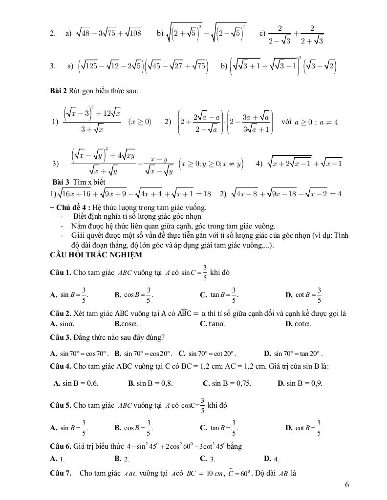
– Giải được giải phương trình tích dạng (ax + b)(cx + d) = 0 (a ≠ 0, b ≠ 0).
– Giải được phương trình chứa ẩn ở mẫu quy về phương trình bậc nhất.
– Giải hệ phương trình bậc nhất hai ẩn bằng phương pháp cộng hoăc thế.
– Giải được phương trình chứa ẩn ở mẫu.
– Giải được bài toán bằng cách lập hệ phương trình (dạng toán có nội dung hình học – hình chữ nhật, chuyển động đơn giản, tỉ lệ phần trăm).
CHỦ ĐỀ 2: BẤT ĐẲNG THỨC, BẤT PHƯƠNG TRÌNH.
– Biết định nghĩa và một số tính chất cơ bản của bất đẳng thức.
– Biết cách giải bất phương trình bậc nhất.
CHỦ ĐỀ 3: CĂN THỨC.
– Nắm được định nghĩa, điều kiện xác định biểu thức chứa căn.
– Biết cách tính toán giá trị biểu thức chứa căn.
CHỦ ĐỀ 4: HỆ THỨC LƯỢNG TRONG TAM GIÁC VUÔNG.
– Biết định nghĩa tỉ số lượng giác góc nhọn.
– Nắm được hệ thức liên quan giữa cạnh, góc trong tam giác vuông.
– Giải quyết được một số vấn đề thực tiễn gắn với tỉ số lượng giác của góc nhọn (ví dụ: Tính độ dài đoạn thẳng, độ lớn góc và áp dụng giải tam giác vuông).
CHỦ ĐỀ 5: ĐƯỜNG TRÒN.
– Biết định nghĩa đường tròn, dây cung, tiếp tuyến.
– Nắm được các loại góc trong đường tròn (góc ở tâm, góc nội tiếp).
– Nhận diện được 4 điểm cùng thuộc 1 đường tròn trong trường hợp đơn giản.










Giải Toán đề cương học kì 1 toán 9 năm 2025 – 2026 trường thcs lê quang cường – tp hcm với Đáp Án Mới Nhất
Toán học luôn là một môn học quan trọng, giúp học sinh phát triển tư duy logic và kỹ năng giải quyết vấn đề. Để hỗ trợ các bạn học sinh và giáo viên trong việc học tập và giảng dạy, bài viết này sẽ cung cấp lời giải chi tiết và đáp án chính xác cho chủ đề đề cương học kì 1 toán 9 năm 2025 – 2026 trường thcs lê quang cường – tp hcm, giúp bạn hiểu sâu và tự tin hơn khi làm bài tập.
đề cương học kì 1 toán 9 năm 2025 – 2026 trường thcs lê quang cường – tp hcm là một trong những phần kiến thức quan trọng trong chương trình toán học, thường xuất hiện trong các bài kiểm tra và kỳ thi lớn. Việc nắm vững phần này không chỉ giúp bạn đạt điểm cao mà còn tạo nền tảng vững chắc để học các nội dung nâng cao hơn.
Chúng tôi cung cấp hướng dẫn từng bước giải bài tập, bao gồm:
Mỗi bài giải đều kèm theo lời giải thích chi tiết, giúp bạn hiểu không chỉ cách làm mà còn cả lý do tại sao nên áp dụng phương pháp đó.
Tất cả các bài tập đều đi kèm đáp án mới nhất, được kiểm tra kỹ lưỡng để đảm bảo độ chính xác cao. Điều này giúp bạn tự kiểm tra kết quả và khắc phục lỗi sai một cách nhanh chóng.
Ngoài ra, bài viết còn cung cấp các tài liệu bổ trợ như:
Chủ đề đề cương học kì 1 toán 9 năm 2025 – 2026 trường thcs lê quang cường – tp hcm là một phần kiến thức thú vị và hữu ích trong toán học. Hãy sử dụng bài viết này như một công cụ hỗ trợ để bạn chinh phục mọi thử thách trong môn Toán. Đừng quên ôn tập thường xuyên và luyện tập nhiều dạng bài tập khác nhau để thành thạo hơn!
Chúc các bạn học tốt và đạt kết quả cao! 😊
>> Xem thêm đáp án chi tiết về: đề cương học kì 1 toán 9 năm 2025 – 2026 trường thcs lê quang cường – tp hcm.