giaitoan.edu.vn giới thiệu đến quý thầy, cô giáo và các em học sinh đề cương ôn tập cuối học kỳ 1 môn Toán 9 năm học 2025 – 2026 trường THCS Nguyễn Du, thành phố Hà Nội.
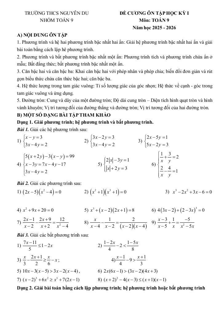
A) NỘI DUNG ÔN TẬP
1. Phương trình và hệ hai phương trình bậc nhất hai ẩn: Giải hệ phương trình bậc nhất hai ẩn và giải bài toán bằng cách lập hê phương trình.
2. Phương trình và bất phương trình bậc nhất một ẩn: Phương trình tích và phương trình chứa ẩn ở mẫu; Bất đẳng thức; bất phương trình bậc nhất một ẩn.
3. Căn bậc hai và căn bậc ba: Khai căn bậc hai với phép nhân và phép chia; biến đổi đơn giản và rút gọn biểu thức chứa căn thức bậc hai; căn bậc ba.
4. Hệ thức lượng trong tam giác vuông: Tỉ số lượng giác của góc nhọn; Hệ thức về cạnh – góc trong tam giác vuông và ứng dụng.
5. Đường tròn: Cung và dây của một đường tròn; Độ dài cung tròn – Diện tích hình quạt tròn và hình vành khuyên; Vị trí tương đối của đường thẳng và đường tròn; Vị trí tương đối của hai đường tròn.
B) MỘT SỐ DẠNG BÀI TẬP THAM KHẢO
Dạng 1. Giải phương trình; hệ phương trình và bất phương trình.
Dạng 2. Giải bài toán bằng cách lập phương trình; hệ phương trình hoặc bất phương trình.
Dạng 3. Rút gọn biểu thức chứa căn và câu hỏi phụ liên quan.
Dạng 4. Toán hình có nội dung thực tế.
Dạng 5. Hình học.
File WORD (dành cho quý thầy, cô): TẢI XUỐNG






Giải Toán đề cương học kỳ 1 toán 9 năm 2025 – 2026 trường thcs nguyễn du – hà nội với Đáp Án Mới Nhất
Toán học luôn là một môn học quan trọng, giúp học sinh phát triển tư duy logic và kỹ năng giải quyết vấn đề. Để hỗ trợ các bạn học sinh và giáo viên trong việc học tập và giảng dạy, bài viết này sẽ cung cấp lời giải chi tiết và đáp án chính xác cho chủ đề đề cương học kỳ 1 toán 9 năm 2025 – 2026 trường thcs nguyễn du – hà nội, giúp bạn hiểu sâu và tự tin hơn khi làm bài tập.
đề cương học kỳ 1 toán 9 năm 2025 – 2026 trường thcs nguyễn du – hà nội là một trong những phần kiến thức quan trọng trong chương trình toán học, thường xuất hiện trong các bài kiểm tra và kỳ thi lớn. Việc nắm vững phần này không chỉ giúp bạn đạt điểm cao mà còn tạo nền tảng vững chắc để học các nội dung nâng cao hơn.
Chúng tôi cung cấp hướng dẫn từng bước giải bài tập, bao gồm:
Mỗi bài giải đều kèm theo lời giải thích chi tiết, giúp bạn hiểu không chỉ cách làm mà còn cả lý do tại sao nên áp dụng phương pháp đó.
Tất cả các bài tập đều đi kèm đáp án mới nhất, được kiểm tra kỹ lưỡng để đảm bảo độ chính xác cao. Điều này giúp bạn tự kiểm tra kết quả và khắc phục lỗi sai một cách nhanh chóng.
Ngoài ra, bài viết còn cung cấp các tài liệu bổ trợ như:
Chủ đề đề cương học kỳ 1 toán 9 năm 2025 – 2026 trường thcs nguyễn du – hà nội là một phần kiến thức thú vị và hữu ích trong toán học. Hãy sử dụng bài viết này như một công cụ hỗ trợ để bạn chinh phục mọi thử thách trong môn Toán. Đừng quên ôn tập thường xuyên và luyện tập nhiều dạng bài tập khác nhau để thành thạo hơn!
Chúc các bạn học tốt và đạt kết quả cao! 😊
>> Xem thêm đáp án chi tiết về: đề cương học kỳ 1 toán 9 năm 2025 – 2026 trường thcs nguyễn du – hà nội.