giaitoan.edu.vn giới thiệu đến quý thầy, cô giáo và các em học sinh đề cương hướng dẫn ôn tập cuối học kì 1 môn Toán 9 năm học 2025 – 2026 trường THCS Hoàng Hoa Thám, phường Tân Bình, thành phố Hồ Chí Minh.
Chương 1. Phương trình và hệ phương trình.
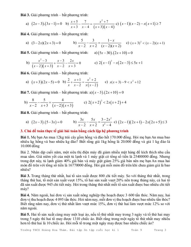
+ Học sinh biết giải phương trình tích, phương trình chứa ẩn ở mẫu quy về phương trình bậc nhất.
+ Học sinh biết các bước giải: hệ phương trình, giải bài toán bằng cách lập phương trình, giải bài toán bằng cách lập hệ phương trình.
Chương 2. Bất đẳng thức.
+ Học sinh biết các tính chất bất đẳng thức.
+ Học sinh biết giải bất phương trình bậc nhất một ẩn.
Chương 3. Căn thức.
+ Học sinh biết tính căn bậc hai của một số, của một biểu thức.
+ Học sinh biết các tính chất của phép khia phương.
+ Học sinh biết biến đổi đơn giản biểu thức chứa căn thức bậc hai và biết rút gọn biểu thức chứa căn bậc hai.
Chương 4. Hệ thức lượng trong tam giác vuông.
+ Học sinh biết các tỉ số lượng giác của góc nhọn.
+ Học sinh biết hệ thức liên hệ giữa cạnh và góc trong tam giác vuông.
+ Học sinh biết vận dụng các tỉ số lượng giác phù hợp vào tính toán độ dài, tính số đo góc, chứng minh đẳng thức, giải các bài toán thực tế.
Chương 5. Đường tròn.
+ Học sinh biết khái niệm về đường tròn, vị trí tương đối của 2 đường tròn, vị trí tương đối giữa đường thẳng và đường tròn, chứng minh các điểm cùng thuộc một đường tròn.
+ Học sinh biết vẽ tiếp tuyến, dấu hiệu nhận biết tiếp tuyến, tính chất của hai tiếp tuyến cắt nhau.
+ Học sinh biết góc ở tâm, góc nội tiếp.
+ Học sinh biết tính chu vi đường tròn, diện tích hình tròn, độ dài cung tròn, diện tích hình quạt tròn, diện tích hình viên phân, diện tích hình vành khuyên.
+ Học sinh sử dụng phù hợp các kiến thức đã học ở các lớp 6, 7, 8, 9 để giải bài toán tổng hợp.









Giải Toán ôn tập cuối học kì 1 toán 9 năm 2025 – 2026 trường thcs hoàng hoa thám – tp hcm với Đáp Án Mới Nhất
Toán học luôn là một môn học quan trọng, giúp học sinh phát triển tư duy logic và kỹ năng giải quyết vấn đề. Để hỗ trợ các bạn học sinh và giáo viên trong việc học tập và giảng dạy, bài viết này sẽ cung cấp lời giải chi tiết và đáp án chính xác cho chủ đề ôn tập cuối học kì 1 toán 9 năm 2025 – 2026 trường thcs hoàng hoa thám – tp hcm, giúp bạn hiểu sâu và tự tin hơn khi làm bài tập.
ôn tập cuối học kì 1 toán 9 năm 2025 – 2026 trường thcs hoàng hoa thám – tp hcm là một trong những phần kiến thức quan trọng trong chương trình toán học, thường xuất hiện trong các bài kiểm tra và kỳ thi lớn. Việc nắm vững phần này không chỉ giúp bạn đạt điểm cao mà còn tạo nền tảng vững chắc để học các nội dung nâng cao hơn.
Chúng tôi cung cấp hướng dẫn từng bước giải bài tập, bao gồm:
Mỗi bài giải đều kèm theo lời giải thích chi tiết, giúp bạn hiểu không chỉ cách làm mà còn cả lý do tại sao nên áp dụng phương pháp đó.
Tất cả các bài tập đều đi kèm đáp án mới nhất, được kiểm tra kỹ lưỡng để đảm bảo độ chính xác cao. Điều này giúp bạn tự kiểm tra kết quả và khắc phục lỗi sai một cách nhanh chóng.
Ngoài ra, bài viết còn cung cấp các tài liệu bổ trợ như:
Chủ đề ôn tập cuối học kì 1 toán 9 năm 2025 – 2026 trường thcs hoàng hoa thám – tp hcm là một phần kiến thức thú vị và hữu ích trong toán học. Hãy sử dụng bài viết này như một công cụ hỗ trợ để bạn chinh phục mọi thử thách trong môn Toán. Đừng quên ôn tập thường xuyên và luyện tập nhiều dạng bài tập khác nhau để thành thạo hơn!
Chúc các bạn học tốt và đạt kết quả cao! 😊
>> Xem thêm đáp án chi tiết về: ôn tập cuối học kì 1 toán 9 năm 2025 – 2026 trường thcs hoàng hoa thám – tp hcm.