giaitoan.edu.vn giới thiệu đến quý thầy, cô giáo và các em học sinh đề giao lưu học sinh giỏi môn Toán 8 năm học 2025 – 2026 xã Điền Lư, tỉnh Thanh Hóa. Đề thi có đáp án, lời giải chi tiết và hướng dẫn chấm điểm.
Trích dẫn Đề giao lưu HSG Toán 8 năm 2025 – 2026 xã Điền Lư – Thanh Hóa:
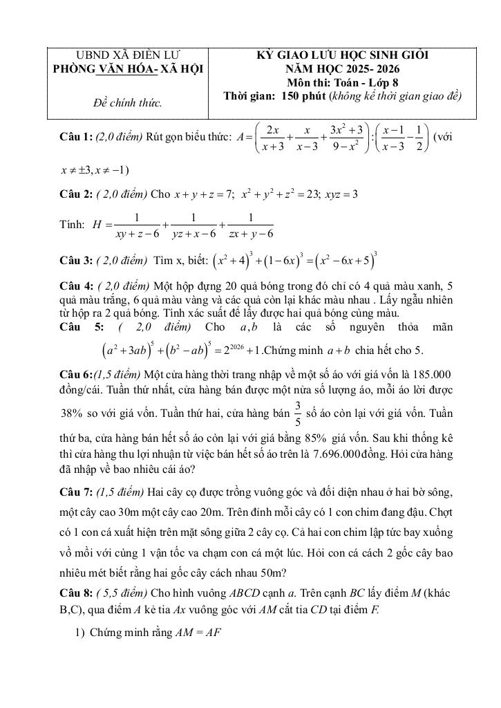
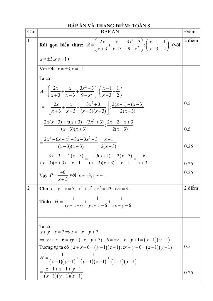
+ Một hộp đựng 20 quả bóng trong đó chỉ có 4 quả màu xanh, 5 quả màu trắng, 6 quả màu vàng và các quả còn lại khác màu nhau. Lấy ngẫu nhiên từ hộp ra 2 quả bóng. Tính xác suất để lấy được hai quả bóng cùng màu.
+ Một cửa hàng thời trang nhập về một số áo với giá vốn là 185.000 đồng/cái. Tuần thứ nhất, cửa hàng bán được một nửa số lượng áo, mỗi áo lời được 38% so với giá vốn. Tuần thứ hai, cửa hàng bán 3/5 số áo còn lại với giá vốn. Tuần thứ ba, cửa hàng bán hết số áo còn lại với giá bằng 85% giá vốn. Sau khi thống kê thì cửa hàng thu lợi nhuận từ việc bán hết số áo trên là 7.696.000đồng. Hỏi cửa hàng đã nhập về bao nhiêu cái áo?
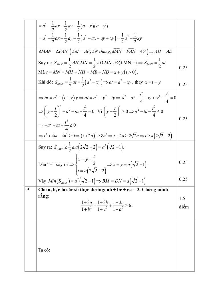
+ Hai cây cọ được trồng vuông góc và đối diện nhau ở hai bờ sông, một cây cao 30m một cây cao 20m. Trên đỉnh mỗi cây có 1 con chim đang đậu. Chợt có 1 con cá xuất hiện trên mặt sông giữa 2 cây cọ. Cả hai con chim lập tức bay xuống vồ mồi với cùng 1 vận tốc va chạm con cá một lúc. Hỏi con cá cách 2 gốc cây bao nhiêu mét biết rằng hai gốc cây cách nhau 50m?
File WORD (dành cho quý thầy, cô): TẢI XUỐNG










Giải Toán đề giao lưu hsg toán 8 năm 2025 – 2026 xã điền lư – thanh hóa với Đáp Án Mới Nhất
Toán học luôn là một môn học quan trọng, giúp học sinh phát triển tư duy logic và kỹ năng giải quyết vấn đề. Để hỗ trợ các bạn học sinh và giáo viên trong việc học tập và giảng dạy, bài viết này sẽ cung cấp lời giải chi tiết và đáp án chính xác cho chủ đề đề giao lưu hsg toán 8 năm 2025 – 2026 xã điền lư – thanh hóa, giúp bạn hiểu sâu và tự tin hơn khi làm bài tập.
đề giao lưu hsg toán 8 năm 2025 – 2026 xã điền lư – thanh hóa là một trong những phần kiến thức quan trọng trong chương trình toán học, thường xuất hiện trong các bài kiểm tra và kỳ thi lớn. Việc nắm vững phần này không chỉ giúp bạn đạt điểm cao mà còn tạo nền tảng vững chắc để học các nội dung nâng cao hơn.
Chúng tôi cung cấp hướng dẫn từng bước giải bài tập, bao gồm:
Mỗi bài giải đều kèm theo lời giải thích chi tiết, giúp bạn hiểu không chỉ cách làm mà còn cả lý do tại sao nên áp dụng phương pháp đó.
Tất cả các bài tập đều đi kèm đáp án mới nhất, được kiểm tra kỹ lưỡng để đảm bảo độ chính xác cao. Điều này giúp bạn tự kiểm tra kết quả và khắc phục lỗi sai một cách nhanh chóng.
Ngoài ra, bài viết còn cung cấp các tài liệu bổ trợ như:
Chủ đề đề giao lưu hsg toán 8 năm 2025 – 2026 xã điền lư – thanh hóa là một phần kiến thức thú vị và hữu ích trong toán học. Hãy sử dụng bài viết này như một công cụ hỗ trợ để bạn chinh phục mọi thử thách trong môn Toán. Đừng quên ôn tập thường xuyên và luyện tập nhiều dạng bài tập khác nhau để thành thạo hơn!
Chúc các bạn học tốt và đạt kết quả cao! 😊
>> Xem thêm đáp án chi tiết về: đề giao lưu hsg toán 8 năm 2025 – 2026 xã điền lư – thanh hóa.