giaitoan.edu.vn giới thiệu đến quý thầy, cô giáo và các em học sinh đề kiểm tra giữa học kì 1 môn Toán 11 năm học 2025 – 2026 trường THPT chuyên Vị Thanh, thành phố Cần Thơ. Đề thi có đáp án mã đề 1132 1133 1131 1134.
Trích dẫn Đề giữa kì 1 Toán 11 năm 2025 – 2026 trường THPT chuyên Vị Thanh – Cần Thơ:
+ Bạn Hoàng chơi trò chơi tô màu trên một miếng bìa hình vuông có cạnh bằng 1. Hoàng tô màu theo các hình vuông nhỏ được đánh số lần lượt là 1, 2, 3, 4, … Hình vuông đầu tiên có cạnh bằng một nửa cạnh miếng bìa,cạnh hình vuông kế tiếp bằng một nửa cạnh hình vuông trước đó. Giả sử quy trình tô màu (như hình vẽ) của Hoàng diễn ra đến hình vuông thứ 20. Khi đó tổng diện tích mà Hoàng đã tô màu là bao nhiêu?
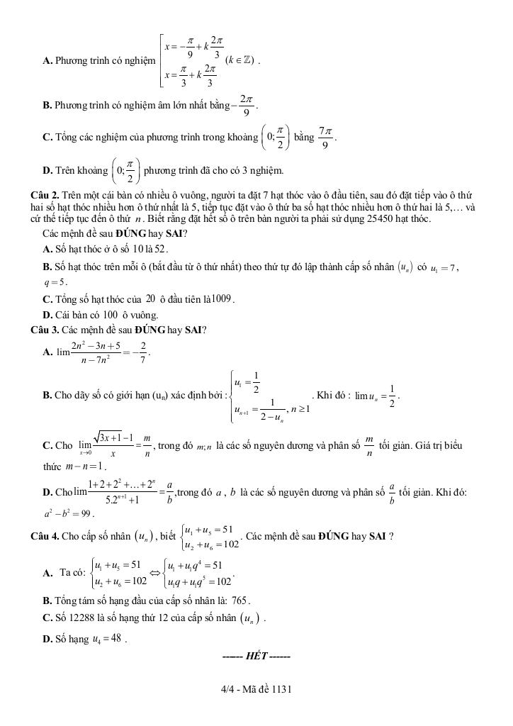
+ Trên một cái bàn có nhiều ô vuông, người ta đặt 7 hạt thóc vào ô đầu tiên, sau đó đặt tiếp vào ô thứ hai số hạt thóc nhiều hơn ô thứ nhất là 5, tiếp tục đặt vào ô thứ ba số hạt thóc nhiều hơn ô thứ hai là 5, … và cứ thế tiếp tục đến ô thứ n. Biết rằng đặt hết số ô trên bàn người ta phải sử dụng 25450 hạt thóc. Các mệnh đề sau ĐÚNG hay SAI? A. Số hạt thóc ở ô số 10 là 52. B. Số hạt thóc trên mỗi ô (bắt đầu từ ô thứ nhất) theo thứ tự đó lập thành cấp số nhân (un) có u1 = 7, q = 5. C. Tổng số hạt thóc của 20 ô đầu tiên là 1009. D. Cái bàn có 100 ô vuông.
+ Nhiệt độ ngoài trời ở một thành phố A vào các thời điểm khác nhau trong ngày có thể được mô phỏng bởi công thức h(t) = 15 – 3sinπ/12(t – 7) với h tính bằng độ C và t là thời gian trong ngày tính bằng giờ (0 ≤ t ≤ 24). Nhiệt độ thấp nhất trong ngày là bao nhiêu độ C và vào lúc mấy giờ?
File WORD (dành cho quý thầy, cô): TẢI XUỐNG






Giải Toán đề giữa kì 1 toán 11 năm 2025 – 2026 trường thpt chuyên vị thanh – cần thơ với Đáp Án Mới Nhất
Toán học luôn là một môn học quan trọng, giúp học sinh phát triển tư duy logic và kỹ năng giải quyết vấn đề. Để hỗ trợ các bạn học sinh và giáo viên trong việc học tập và giảng dạy, bài viết này sẽ cung cấp lời giải chi tiết và đáp án chính xác cho chủ đề đề giữa kì 1 toán 11 năm 2025 – 2026 trường thpt chuyên vị thanh – cần thơ, giúp bạn hiểu sâu và tự tin hơn khi làm bài tập.
đề giữa kì 1 toán 11 năm 2025 – 2026 trường thpt chuyên vị thanh – cần thơ là một trong những phần kiến thức quan trọng trong chương trình toán học, thường xuất hiện trong các bài kiểm tra và kỳ thi lớn. Việc nắm vững phần này không chỉ giúp bạn đạt điểm cao mà còn tạo nền tảng vững chắc để học các nội dung nâng cao hơn.
Chúng tôi cung cấp hướng dẫn từng bước giải bài tập, bao gồm:
Mỗi bài giải đều kèm theo lời giải thích chi tiết, giúp bạn hiểu không chỉ cách làm mà còn cả lý do tại sao nên áp dụng phương pháp đó.
Tất cả các bài tập đều đi kèm đáp án mới nhất, được kiểm tra kỹ lưỡng để đảm bảo độ chính xác cao. Điều này giúp bạn tự kiểm tra kết quả và khắc phục lỗi sai một cách nhanh chóng.
Ngoài ra, bài viết còn cung cấp các tài liệu bổ trợ như:
Chủ đề đề giữa kì 1 toán 11 năm 2025 – 2026 trường thpt chuyên vị thanh – cần thơ là một phần kiến thức thú vị và hữu ích trong toán học. Hãy sử dụng bài viết này như một công cụ hỗ trợ để bạn chinh phục mọi thử thách trong môn Toán. Đừng quên ôn tập thường xuyên và luyện tập nhiều dạng bài tập khác nhau để thành thạo hơn!
Chúc các bạn học tốt và đạt kết quả cao! 😊
>> Xem thêm đáp án chi tiết về: đề giữa kì 1 toán 11 năm 2025 – 2026 trường thpt chuyên vị thanh – cần thơ.