giaitoan.edu.vn giới thiệu đến quý thầy, cô giáo và các em học sinh đề khảo sát chất lượng học sinh khá giỏi môn Toán 6 lần 2 năm học 2025 – 2026 cụm THCS Lâm-Văn-Kiều, tỉnh Nghệ An. Đề thi có đáp án, lời giải chi tiết và hướng dẫn chấm điểm.
Trích dẫn Đề KSCL học sinh giỏi Toán 6 lần 2 năm 2025 – 2026 cụm THCS Lâm-Văn-Kiều – Nghệ An:
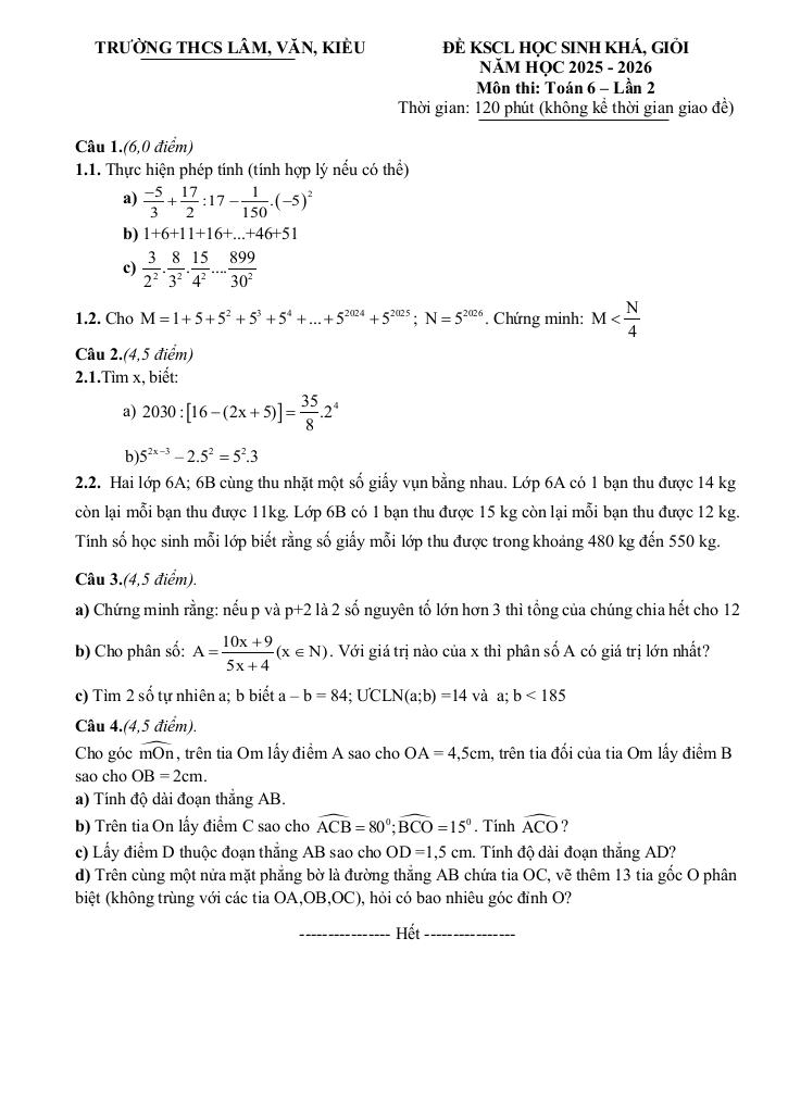
+ Hai lớp 6A; 6B cùng thu nhặt một số giấy vụn bằng nhau. Lớp 6A có 1 bạn thu được 14 kg còn lại mỗi bạn thu được 11kg. Lớp 6B có 1 bạn thu được 15 kg còn lại mỗi bạn thu được 12 kg. Tính số học sinh mỗi lớp biết rằng số giấy mỗi lớp thu được trong khoảng 480 kg đến 550 kg.
+ Chứng minh rằng: nếu p và p + 2 là 2 số nguyên tố lớn hơn 3 thì tổng của chúng chia hết cho 12.
+ Cho góc mOn, trên tia Om lấy điểm A sao cho OA = 4,5cm, trên tia đối của tia Om lấy điểm B sao cho OB = 2cm. a) Tính độ dài đoạn thẳng AB. b) Trên tia On lấy điểm C sao cho ACB = 80; BCO = 15. Tính ACO? c) Lấy điểm D thuộc đoạn thẳng AB sao cho OD = 1,5 cm. Tính độ dài đoạn thẳng AD? d) Trên cùng một nửa mặt phẳng bờ là đường thẳng AB chứa tia OC, vẽ thêm 13 tia gốc O phân biệt (không trùng với các tia OA, OB, OC), hỏi có bao nhiêu góc đỉnh O?
File WORD (dành cho quý thầy, cô): TẢI XUỐNG






Giải Toán đề kscl học sinh giỏi toán 6 lần 2 năm 2025 – 2026 cụm thcs lâm-văn-kiều – nghệ an với Đáp Án Mới Nhất
Toán học luôn là một môn học quan trọng, giúp học sinh phát triển tư duy logic và kỹ năng giải quyết vấn đề. Để hỗ trợ các bạn học sinh và giáo viên trong việc học tập và giảng dạy, bài viết này sẽ cung cấp lời giải chi tiết và đáp án chính xác cho chủ đề đề kscl học sinh giỏi toán 6 lần 2 năm 2025 – 2026 cụm thcs lâm-văn-kiều – nghệ an, giúp bạn hiểu sâu và tự tin hơn khi làm bài tập.
đề kscl học sinh giỏi toán 6 lần 2 năm 2025 – 2026 cụm thcs lâm-văn-kiều – nghệ an là một trong những phần kiến thức quan trọng trong chương trình toán học, thường xuất hiện trong các bài kiểm tra và kỳ thi lớn. Việc nắm vững phần này không chỉ giúp bạn đạt điểm cao mà còn tạo nền tảng vững chắc để học các nội dung nâng cao hơn.
Chúng tôi cung cấp hướng dẫn từng bước giải bài tập, bao gồm:
Mỗi bài giải đều kèm theo lời giải thích chi tiết, giúp bạn hiểu không chỉ cách làm mà còn cả lý do tại sao nên áp dụng phương pháp đó.
Tất cả các bài tập đều đi kèm đáp án mới nhất, được kiểm tra kỹ lưỡng để đảm bảo độ chính xác cao. Điều này giúp bạn tự kiểm tra kết quả và khắc phục lỗi sai một cách nhanh chóng.
Ngoài ra, bài viết còn cung cấp các tài liệu bổ trợ như:
Chủ đề đề kscl học sinh giỏi toán 6 lần 2 năm 2025 – 2026 cụm thcs lâm-văn-kiều – nghệ an là một phần kiến thức thú vị và hữu ích trong toán học. Hãy sử dụng bài viết này như một công cụ hỗ trợ để bạn chinh phục mọi thử thách trong môn Toán. Đừng quên ôn tập thường xuyên và luyện tập nhiều dạng bài tập khác nhau để thành thạo hơn!
Chúc các bạn học tốt và đạt kết quả cao! 😊
>> Xem thêm đáp án chi tiết về: đề kscl học sinh giỏi toán 6 lần 2 năm 2025 – 2026 cụm thcs lâm-văn-kiều – nghệ an.