giaitoan.edu.vn giới thiệu đến quý thầy, cô giáo và các em học sinh đề thi Olympic cấp xã môn Toán 6 năm học 2025 – 2026 xã Nghĩa Lộc, tỉnh Nghệ An. Đề thi có đáp án, lời giải chi tiết và hướng dẫn chấm điểm.
Trích dẫn Đề thi Olympic cấp xã Toán 6 năm 2025 – 2026 xã Nghĩa Lộc – Nghệ An:
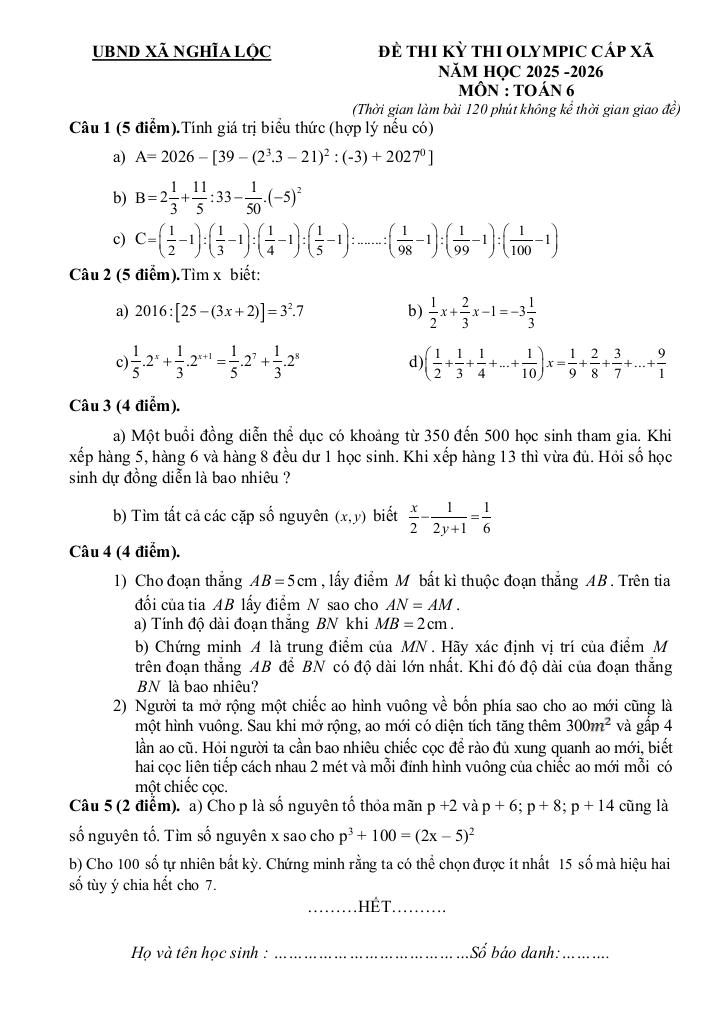
+ Một buổi đồng diễn thể dục có khoảng từ 350 đến 500 học sinh tham gia. Khi xếp hàng 5, hàng 6 và hàng 8 đều dư 1 học sinh. Khi xếp hàng 13 thì vừa đủ. Hỏi số học sinh dự đồng diễn là bao nhiêu?
+ Cho đoạn thẳng AB = 5cm, lấy điểm M bất kì thuộc đoạn thẳng AB. Trên tia đối của tia AB lấy điểm N sao cho AN = AM. a) Tính độ dài đoạn thẳng BN khi MB = 2cm. b) Chứng minh A là trung điểm của MN. Hãy xác định vị trí của điểm M trên đoạn thẳng AB để BN có độ dài lớn nhất. Khi đó độ dài của đoạn thẳng BN là bao nhiêu?
+ Người ta mở rộng một chiếc ao hình vuông về bốn phía sao cho ao mới cũng là một hình vuông. Sau khi mở rộng, ao mới có diện tích tăng thêm 300 và gấp 4 lần ao cũ. Hỏi người ta cần bao nhiêu chiếc cọc để rào đủ xung quanh ao mới, biết hai cọc liên tiếp cách nhau 2 mét và mỗi đỉnh hình vuông của chiếc ao mới mỗi có một chiếc cọc.
File WORD (dành cho quý thầy, cô): TẢI XUỐNG






Giải Toán đề thi olympic cấp xã toán 6 năm 2025 – 2026 xã nghĩa lộc – nghệ an với Đáp Án Mới Nhất
Toán học luôn là một môn học quan trọng, giúp học sinh phát triển tư duy logic và kỹ năng giải quyết vấn đề. Để hỗ trợ các bạn học sinh và giáo viên trong việc học tập và giảng dạy, bài viết này sẽ cung cấp lời giải chi tiết và đáp án chính xác cho chủ đề đề thi olympic cấp xã toán 6 năm 2025 – 2026 xã nghĩa lộc – nghệ an, giúp bạn hiểu sâu và tự tin hơn khi làm bài tập.
đề thi olympic cấp xã toán 6 năm 2025 – 2026 xã nghĩa lộc – nghệ an là một trong những phần kiến thức quan trọng trong chương trình toán học, thường xuất hiện trong các bài kiểm tra và kỳ thi lớn. Việc nắm vững phần này không chỉ giúp bạn đạt điểm cao mà còn tạo nền tảng vững chắc để học các nội dung nâng cao hơn.
Chúng tôi cung cấp hướng dẫn từng bước giải bài tập, bao gồm:
Mỗi bài giải đều kèm theo lời giải thích chi tiết, giúp bạn hiểu không chỉ cách làm mà còn cả lý do tại sao nên áp dụng phương pháp đó.
Tất cả các bài tập đều đi kèm đáp án mới nhất, được kiểm tra kỹ lưỡng để đảm bảo độ chính xác cao. Điều này giúp bạn tự kiểm tra kết quả và khắc phục lỗi sai một cách nhanh chóng.
Ngoài ra, bài viết còn cung cấp các tài liệu bổ trợ như:
Chủ đề đề thi olympic cấp xã toán 6 năm 2025 – 2026 xã nghĩa lộc – nghệ an là một phần kiến thức thú vị và hữu ích trong toán học. Hãy sử dụng bài viết này như một công cụ hỗ trợ để bạn chinh phục mọi thử thách trong môn Toán. Đừng quên ôn tập thường xuyên và luyện tập nhiều dạng bài tập khác nhau để thành thạo hơn!
Chúc các bạn học tốt và đạt kết quả cao! 😊
>> Xem thêm đáp án chi tiết về: đề thi olympic cấp xã toán 6 năm 2025 – 2026 xã nghĩa lộc – nghệ an.