giaitoan.edu.vn giới thiệu đến quý thầy, cô giáo và các em học sinh đề khảo sát chất lượng học sinh giỏi cấp cụm môn Toán 7 năm học 2025 – 2026 cụm các trường THCS số 34, tỉnh Ninh Bình. Đề thi có đáp án, lời giải chi tiết và hướng dẫn chấm điểm.
Trích dẫn Đề KSCL học sinh giỏi Toán 7 năm 2025 – 2026 cụm các trường THCS số 34 – Ninh Bình:
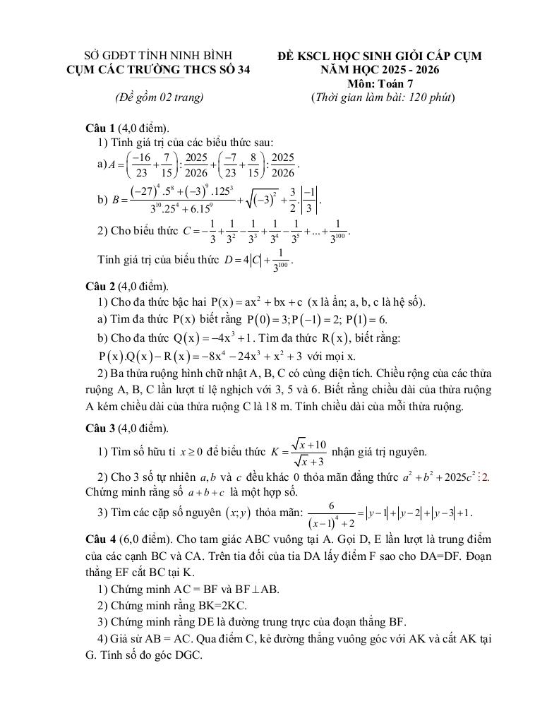
+ Ba thửa ruộng hình chữ nhật A, B, C có cùng diện tích. Chiều rộng của các thửa ruộng A, B, C lần lượt tỉ lệ nghịch với 3, 5 và 6. Biết rằng chiều dài của thửa ruộng A kém chiều dài của thửa ruộng C là 18 m. Tính chiều dài của mỗi thửa ruộng.
+ Cho 3 số tự nhiên a, b và c đều khác 0 thỏa mãn đẳng thức a2 + b2 + 2025c2 chia hết cho 2. Chứng minh rằng số a + b + c là một hợp số.
+ Cho tam giác ABC vuông tại A. Gọi D, E lần lượt là trung điểm của các cạnh BC và CA. Trên tia đối của tia DA lấy điểm F sao cho DA = DF. Đoạn thẳng EF cắt BC tại K. 1) Chứng minh AC = BF và BF vuông góc AB. 2) Chứng minh rằng BK = 2KC. 3) Chứng minh rằng DE là đường trung trực của đoạn thẳng BF. 4) Giả sử AB = AC. Qua điểm C, kẻ đường thẳng vuông góc với AK và cắt AK tại G. Tính số đo góc DGC.









Giải Toán đề kscl học sinh giỏi toán 7 năm 2025 – 2026 cụm các trường thcs số 34 – ninh bình với Đáp Án Mới Nhất
Toán học luôn là một môn học quan trọng, giúp học sinh phát triển tư duy logic và kỹ năng giải quyết vấn đề. Để hỗ trợ các bạn học sinh và giáo viên trong việc học tập và giảng dạy, bài viết này sẽ cung cấp lời giải chi tiết và đáp án chính xác cho chủ đề đề kscl học sinh giỏi toán 7 năm 2025 – 2026 cụm các trường thcs số 34 – ninh bình, giúp bạn hiểu sâu và tự tin hơn khi làm bài tập.
đề kscl học sinh giỏi toán 7 năm 2025 – 2026 cụm các trường thcs số 34 – ninh bình là một trong những phần kiến thức quan trọng trong chương trình toán học, thường xuất hiện trong các bài kiểm tra và kỳ thi lớn. Việc nắm vững phần này không chỉ giúp bạn đạt điểm cao mà còn tạo nền tảng vững chắc để học các nội dung nâng cao hơn.
Chúng tôi cung cấp hướng dẫn từng bước giải bài tập, bao gồm:
Mỗi bài giải đều kèm theo lời giải thích chi tiết, giúp bạn hiểu không chỉ cách làm mà còn cả lý do tại sao nên áp dụng phương pháp đó.
Tất cả các bài tập đều đi kèm đáp án mới nhất, được kiểm tra kỹ lưỡng để đảm bảo độ chính xác cao. Điều này giúp bạn tự kiểm tra kết quả và khắc phục lỗi sai một cách nhanh chóng.
Ngoài ra, bài viết còn cung cấp các tài liệu bổ trợ như:
Chủ đề đề kscl học sinh giỏi toán 7 năm 2025 – 2026 cụm các trường thcs số 34 – ninh bình là một phần kiến thức thú vị và hữu ích trong toán học. Hãy sử dụng bài viết này như một công cụ hỗ trợ để bạn chinh phục mọi thử thách trong môn Toán. Đừng quên ôn tập thường xuyên và luyện tập nhiều dạng bài tập khác nhau để thành thạo hơn!
Chúc các bạn học tốt và đạt kết quả cao! 😊
>> Xem thêm đáp án chi tiết về: đề kscl học sinh giỏi toán 7 năm 2025 – 2026 cụm các trường thcs số 34 – ninh bình.