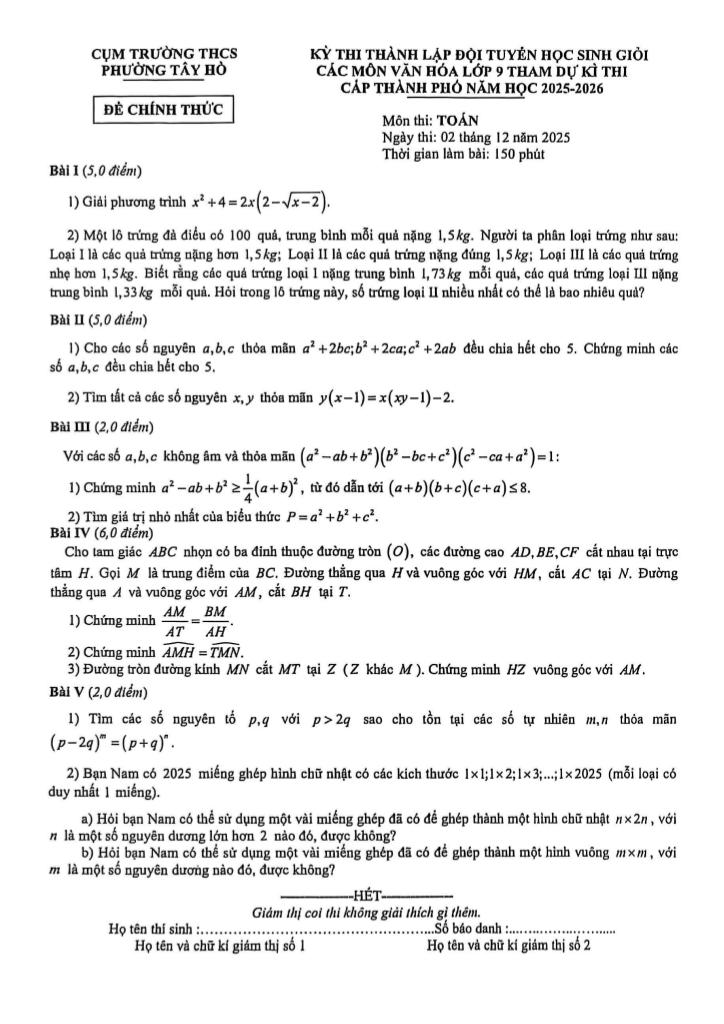
giaitoan.edu.vn giới thiệu đến quý thầy, cô giáo và các em học sinh đề thi thành lập đội tuyển học sinh giỏi môn Toán 9 tham dự kì thi cấp thành phố năm học 2025 – 2026 cụm trường THCS phường Tây Hồ, thành phố Hà Nội. Kỳ thi được diễn ra vào ngày 02 tháng 12 năm 2025.
Trích dẫn Đề lập đội tuyển HSG Toán 9 năm 2025 – 2026 cụm THCS phường Tây Hồ – Hà Nội:
+ Một lô trứng đà điểu có 100 quả, trung bình mỗi quả nặng 1,5kg. Người ta phân loại trứng như sau: Loại I là các quả trứng nặng hơn 1,5kg; Loại II là các quả trứng nặng đúng 1,5kg; Loại III là các quả trứng nhẹ hơn 1,5 kg. Biết rằng các quả trứng loại I nặng trung bình 1,73 kg mỗi quả, các quả trứng loại III nặng trung bình 1,33kg mỗi quả. Hỏi trong lô trứng này, số trứng loại II nhiều nhất có thể là bao nhiêu quả?
+ Cho các số nguyên a, b, c thỏa mãn a² + 2bc; b² + 2ca; c² + 2ab đều chia hết cho 5. Chứng minh các số a, b, c đều chia hết cho 5.
+ Bạn Nam có 2025 miếng ghép hình chữ nhật có các kích thước 1×1; 1×2; 1×3; …; 1×2025 (mỗi loại có duy nhất 1 miếng). a) Hỏi bạn Nam có thể sử dụng một vài miếng ghép đã có để ghép thành một hình chữ nhật n×2n, với n là một số nguyên dương lớn hơn 2 nào đó, được không? b) Hỏi bạn Nam có thể sử dụng một vài miếng ghép đã có để ghép thành một hình vuông mxm, với m là một số nguyên dương nào đó, được không?

Giải Toán đề lập đội tuyển hsg toán 9 năm 2025 – 2026 cụm thcs phường tây hồ – hà nội với Đáp Án Mới Nhất
Toán học luôn là một môn học quan trọng, giúp học sinh phát triển tư duy logic và kỹ năng giải quyết vấn đề. Để hỗ trợ các bạn học sinh và giáo viên trong việc học tập và giảng dạy, bài viết này sẽ cung cấp lời giải chi tiết và đáp án chính xác cho chủ đề đề lập đội tuyển hsg toán 9 năm 2025 – 2026 cụm thcs phường tây hồ – hà nội, giúp bạn hiểu sâu và tự tin hơn khi làm bài tập.
đề lập đội tuyển hsg toán 9 năm 2025 – 2026 cụm thcs phường tây hồ – hà nội là một trong những phần kiến thức quan trọng trong chương trình toán học, thường xuất hiện trong các bài kiểm tra và kỳ thi lớn. Việc nắm vững phần này không chỉ giúp bạn đạt điểm cao mà còn tạo nền tảng vững chắc để học các nội dung nâng cao hơn.
Chúng tôi cung cấp hướng dẫn từng bước giải bài tập, bao gồm:
Mỗi bài giải đều kèm theo lời giải thích chi tiết, giúp bạn hiểu không chỉ cách làm mà còn cả lý do tại sao nên áp dụng phương pháp đó.
Tất cả các bài tập đều đi kèm đáp án mới nhất, được kiểm tra kỹ lưỡng để đảm bảo độ chính xác cao. Điều này giúp bạn tự kiểm tra kết quả và khắc phục lỗi sai một cách nhanh chóng.
Ngoài ra, bài viết còn cung cấp các tài liệu bổ trợ như:
Chủ đề đề lập đội tuyển hsg toán 9 năm 2025 – 2026 cụm thcs phường tây hồ – hà nội là một phần kiến thức thú vị và hữu ích trong toán học. Hãy sử dụng bài viết này như một công cụ hỗ trợ để bạn chinh phục mọi thử thách trong môn Toán. Đừng quên ôn tập thường xuyên và luyện tập nhiều dạng bài tập khác nhau để thành thạo hơn!
Chúc các bạn học tốt và đạt kết quả cao! 😊
>> Xem thêm đáp án chi tiết về: đề lập đội tuyển hsg toán 9 năm 2025 – 2026 cụm thcs phường tây hồ – hà nội.