giaitoan.edu.vn giới thiệu đến quý thầy, cô giáo và các em học sinh đề thi chọn học sinh giỏi môn Toán 10 năm học 2025 – 2026 trường THPT Quảng Trị, tỉnh Quảng Trị. Đề thi có đáp án, lời giải chi tiết và hướng dẫn chấm điểm.
Trích dẫn Đề thi học sinh giỏi Toán 10 năm 2025 – 2026 trường THPT Quảng Trị – Quảng Trị:
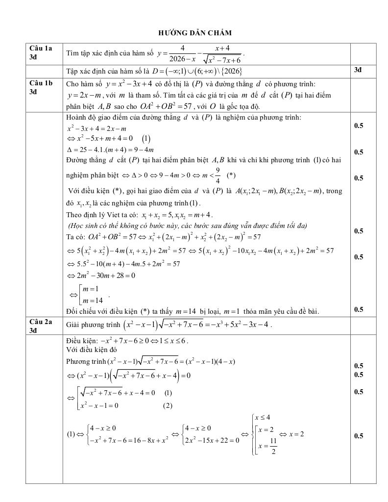
+ Cho hàm số y = x2 – 3x + 4 có đồ thị là (P) và đường thẳng d có phương trình: y = 2x – m với m là tham số. Tìm tất cả các giá trị của m để d cắt (P) tại hai điểm phân biệt A, B sao cho OA2 + OB2 = 57, với O là gốc tọa độ.
+ Trong năm 2026, một cửa hàng kinh doanh xe máy dự định kinh doanh hai loại xe máy Lead và xe máy Vision, với tổng số vốn ban đầu không vượt quá 36 tỉ đồng. Giá nhập về 1 chiếc xe máy Lead là 40 triệu đồng, lợi nhuận dự kiến là 5 triệu đồng một chiếc. Giá nhập về 1 chiếc xe máy Vision là 30 triệu đồng, lợi nhuận dự kiến là 3,2 triệu đồng một chiếc. Cửa hàng ước tính rằng tổng nhu cầu thị trường không vượt quá 1100 chiếc xe cả hai loại và nhu cầu xe Lead không vượt quá 1,5 lần nhu cầu xe Vision. Hỏi lợi nhuận có thể thu được lớn nhất của cửa hàng là bao nhiêu tiền?
+ Có bao nhiêu số tự nhiên có 3 chữ số dạng abc thỏa mãn a; b; c là độ dài ba cạnh của một tam giác cân (kể cả tam giác đều)?






Giải Toán đề thi học sinh giỏi toán 10 năm 2025 – 2026 trường thpt quảng trị – quảng trị với Đáp Án Mới Nhất
Toán học luôn là một môn học quan trọng, giúp học sinh phát triển tư duy logic và kỹ năng giải quyết vấn đề. Để hỗ trợ các bạn học sinh và giáo viên trong việc học tập và giảng dạy, bài viết này sẽ cung cấp lời giải chi tiết và đáp án chính xác cho chủ đề đề thi học sinh giỏi toán 10 năm 2025 – 2026 trường thpt quảng trị – quảng trị, giúp bạn hiểu sâu và tự tin hơn khi làm bài tập.
đề thi học sinh giỏi toán 10 năm 2025 – 2026 trường thpt quảng trị – quảng trị là một trong những phần kiến thức quan trọng trong chương trình toán học, thường xuất hiện trong các bài kiểm tra và kỳ thi lớn. Việc nắm vững phần này không chỉ giúp bạn đạt điểm cao mà còn tạo nền tảng vững chắc để học các nội dung nâng cao hơn.
Chúng tôi cung cấp hướng dẫn từng bước giải bài tập, bao gồm:
Mỗi bài giải đều kèm theo lời giải thích chi tiết, giúp bạn hiểu không chỉ cách làm mà còn cả lý do tại sao nên áp dụng phương pháp đó.
Tất cả các bài tập đều đi kèm đáp án mới nhất, được kiểm tra kỹ lưỡng để đảm bảo độ chính xác cao. Điều này giúp bạn tự kiểm tra kết quả và khắc phục lỗi sai một cách nhanh chóng.
Ngoài ra, bài viết còn cung cấp các tài liệu bổ trợ như:
Chủ đề đề thi học sinh giỏi toán 10 năm 2025 – 2026 trường thpt quảng trị – quảng trị là một phần kiến thức thú vị và hữu ích trong toán học. Hãy sử dụng bài viết này như một công cụ hỗ trợ để bạn chinh phục mọi thử thách trong môn Toán. Đừng quên ôn tập thường xuyên và luyện tập nhiều dạng bài tập khác nhau để thành thạo hơn!
Chúc các bạn học tốt và đạt kết quả cao! 😊
>> Xem thêm đáp án chi tiết về: đề thi học sinh giỏi toán 10 năm 2025 – 2026 trường thpt quảng trị – quảng trị.