giaitoan.edu.vn giới thiệu đến quý thầy, cô giáo và các em học sinh đề thi thử môn Toán tuyển sinh vào lớp 10 THPT lần 2 năm học 2026 – 2027 trường THCS Nghĩa Thuận, xã Đông Hiếu, tỉnh Nghệ An. Đề thi có đáp án, lời giải chi tiết và hướng dẫn chấm điểm.
Trích dẫn Đề thi thử Toán vào lớp 10 lần 2 năm 2026 – 2027 trường THCS Nghĩa Thuận – Nghệ An:
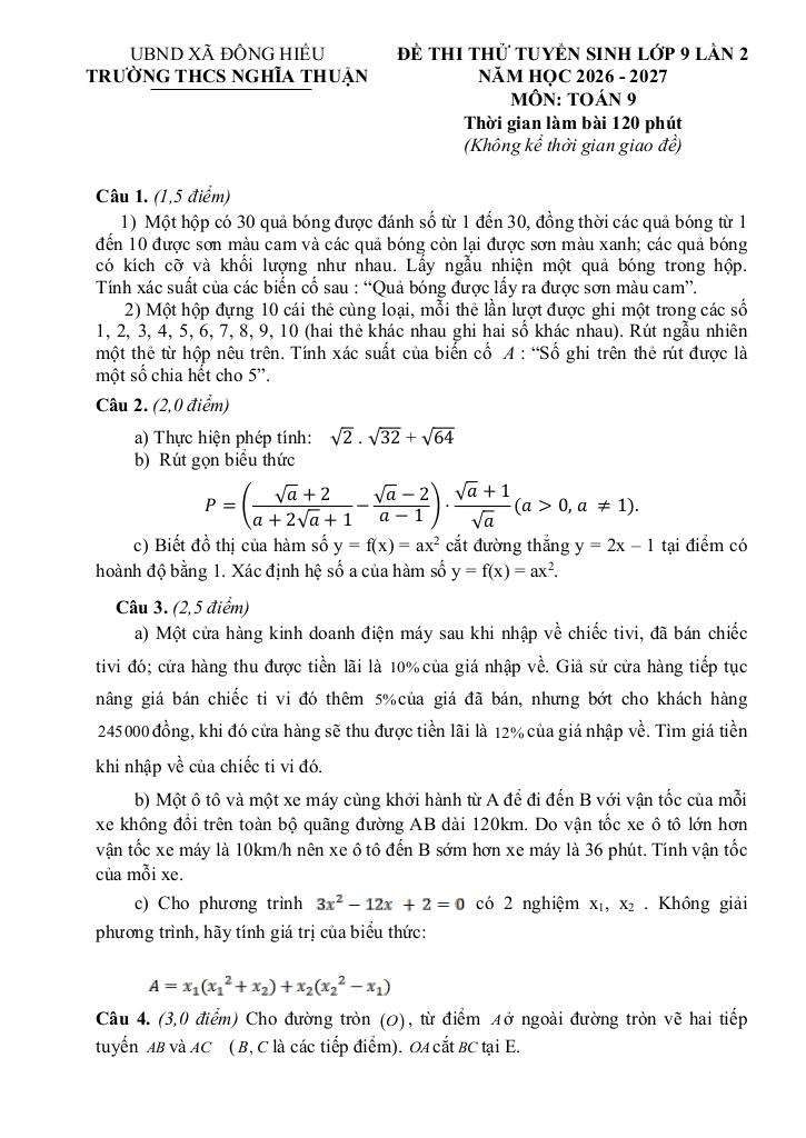
+ Một hộp có 30 quả bóng được đánh số từ 1 đến 30, đồng thời các quả bóng từ 1 đến 10 được sơn màu cam và các quả bóng còn lại được sơn màu xanh; các quả bóng có kích cỡ và khối lượng như nhau. Lấy ngẫu nhiện một quả bóng trong hộp. Tính xác suất của các biến cố sau : “Quả bóng được lấy ra được sơn màu cam”.
+ Một cửa hàng kinh doanh điện máy sau khi nhập về chiếc tivi, đã bán chiếc tivi đó; cửa hàng thu được tiền lãi là 10% của giá nhập về. Giả sử cửa hàng tiếp tục nâng giá bán chiếc ti vi đó thêm 5%của giá đã bán, nhưng bớt cho khách hàng 245000 đồng, khi đó cửa hàng sẽ thu được tiền lãi là 12% của giá nhập về. Tìm giá tiền khi nhập về của chiếc ti vi đó.
+ Một ô tô và một xe máy cùng khởi hành từ A để đi đến B với vận tốc của mỗi xe không đổi trên toàn bộ quãng đường AB dài 120km. Do vận tốc xe ô tô lớn hơn vận tốc xe máy là 10km/h nên xe ô tô đến B sớm hơn xe máy là 36 phút. Tính vận tốc của mỗi xe.
File WORD (dành cho quý thầy, cô): TẢI XUỐNG







Giải Toán đề thi thử toán vào lớp 10 lần 2 năm 2026 – 2027 trường thcs nghĩa thuận – nghệ an với Đáp Án Mới Nhất
Toán học luôn là một môn học quan trọng, giúp học sinh phát triển tư duy logic và kỹ năng giải quyết vấn đề. Để hỗ trợ các bạn học sinh và giáo viên trong việc học tập và giảng dạy, bài viết này sẽ cung cấp lời giải chi tiết và đáp án chính xác cho chủ đề đề thi thử toán vào lớp 10 lần 2 năm 2026 – 2027 trường thcs nghĩa thuận – nghệ an, giúp bạn hiểu sâu và tự tin hơn khi làm bài tập.
đề thi thử toán vào lớp 10 lần 2 năm 2026 – 2027 trường thcs nghĩa thuận – nghệ an là một trong những phần kiến thức quan trọng trong chương trình toán học, thường xuất hiện trong các bài kiểm tra và kỳ thi lớn. Việc nắm vững phần này không chỉ giúp bạn đạt điểm cao mà còn tạo nền tảng vững chắc để học các nội dung nâng cao hơn.
Chúng tôi cung cấp hướng dẫn từng bước giải bài tập, bao gồm:
Mỗi bài giải đều kèm theo lời giải thích chi tiết, giúp bạn hiểu không chỉ cách làm mà còn cả lý do tại sao nên áp dụng phương pháp đó.
Tất cả các bài tập đều đi kèm đáp án mới nhất, được kiểm tra kỹ lưỡng để đảm bảo độ chính xác cao. Điều này giúp bạn tự kiểm tra kết quả và khắc phục lỗi sai một cách nhanh chóng.
Ngoài ra, bài viết còn cung cấp các tài liệu bổ trợ như:
Chủ đề đề thi thử toán vào lớp 10 lần 2 năm 2026 – 2027 trường thcs nghĩa thuận – nghệ an là một phần kiến thức thú vị và hữu ích trong toán học. Hãy sử dụng bài viết này như một công cụ hỗ trợ để bạn chinh phục mọi thử thách trong môn Toán. Đừng quên ôn tập thường xuyên và luyện tập nhiều dạng bài tập khác nhau để thành thạo hơn!
Chúc các bạn học tốt và đạt kết quả cao! 😊
>> Xem thêm đáp án chi tiết về: đề thi thử toán vào lớp 10 lần 2 năm 2026 – 2027 trường thcs nghĩa thuận – nghệ an.