giaitoan.edu.vn giới thiệu đến quý thầy, cô giáo và các em học sinh đề chính thức kỳ thi tuyển sinh vào lớp 10 THPT chuyên môn Toán (chuyên) năm học 2025 – 2026 sở Giáo dục và Đào tạo tỉnh Hà Giang. Đề thi có đáp án và lời giải chi tiết.
Trích dẫn Đề tuyển sinh lớp 10 môn Toán (chuyên) năm 2025 – 2026 sở GD&ĐT Hà Giang:
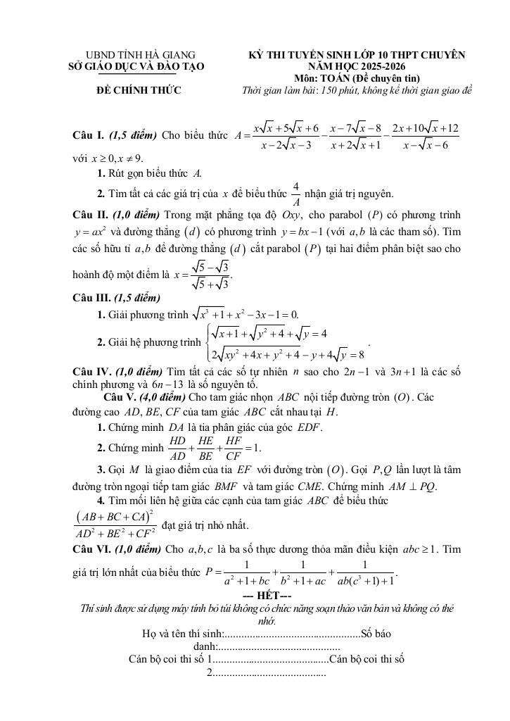
+ Trong mặt phẳng tọa độ Oxy, cho parabol (P) có phương trình y = ax2 và đường thẳng (d) có phương trình y = bx − 1 (với a, b là các tham số). Tìm các số hữu tỉ a, b để đường thẳng (d) cắt parabol (P) tại hai điểm phân biệt sao cho hoành độ một điểm là x = (√5 – √3)/(√5 + √3).
+ Tìm tất cả các số tự nhiên n sao cho 2n − 1 và 3n + 1 là các số chính phương và 6n − 13 là số nguyên tố.
+ Cho tam giác nhọn ABC nội tiếp đường tròn (O). Các đường cao AD, BE, CF của tam giác ABC cắt nhau tại H. 1. Chứng minh DA là tia phân giác của góc EDF. 2. Chứng minh HD/AD + HE/BE + HF/CF = 1. 3. Gọi M là giao điểm của tia EF với đường tròn (O). Gọi P, Q lần lượt là tâm đường tròn ngoại tiếp tam giác BMF và tam giác CME. Chứng minh AM ⊥ PQ. 4. Tìm mối liên hệ giữa các cạnh của tam giác ABC để biểu thức (AB + BC + CA)^2/(AD2 + BE2 + CF2) đạt giá trị nhỏ nhất.
File WORD (dành cho quý thầy, cô): TẢI XUỐNG






Giải Toán đề tuyển sinh lớp 10 môn toán (chuyên) năm 2025 – 2026 sở gd&đt hà giang với Đáp Án Mới Nhất
Toán học luôn là một môn học quan trọng, giúp học sinh phát triển tư duy logic và kỹ năng giải quyết vấn đề. Để hỗ trợ các bạn học sinh và giáo viên trong việc học tập và giảng dạy, bài viết này sẽ cung cấp lời giải chi tiết và đáp án chính xác cho chủ đề đề tuyển sinh lớp 10 môn toán (chuyên) năm 2025 – 2026 sở gd&đt hà giang, giúp bạn hiểu sâu và tự tin hơn khi làm bài tập.
đề tuyển sinh lớp 10 môn toán (chuyên) năm 2025 – 2026 sở gd&đt hà giang là một trong những phần kiến thức quan trọng trong chương trình toán học, thường xuất hiện trong các bài kiểm tra và kỳ thi lớn. Việc nắm vững phần này không chỉ giúp bạn đạt điểm cao mà còn tạo nền tảng vững chắc để học các nội dung nâng cao hơn.
Chúng tôi cung cấp hướng dẫn từng bước giải bài tập, bao gồm:
Mỗi bài giải đều kèm theo lời giải thích chi tiết, giúp bạn hiểu không chỉ cách làm mà còn cả lý do tại sao nên áp dụng phương pháp đó.
Tất cả các bài tập đều đi kèm đáp án mới nhất, được kiểm tra kỹ lưỡng để đảm bảo độ chính xác cao. Điều này giúp bạn tự kiểm tra kết quả và khắc phục lỗi sai một cách nhanh chóng.
Ngoài ra, bài viết còn cung cấp các tài liệu bổ trợ như:
Chủ đề đề tuyển sinh lớp 10 môn toán (chuyên) năm 2025 – 2026 sở gd&đt hà giang là một phần kiến thức thú vị và hữu ích trong toán học. Hãy sử dụng bài viết này như một công cụ hỗ trợ để bạn chinh phục mọi thử thách trong môn Toán. Đừng quên ôn tập thường xuyên và luyện tập nhiều dạng bài tập khác nhau để thành thạo hơn!
Chúc các bạn học tốt và đạt kết quả cao! 😊
>> Xem thêm đáp án chi tiết về: đề tuyển sinh lớp 10 môn toán (chuyên) năm 2025 – 2026 sở gd&đt hà giang.