giaitoan.edu.vn giới thiệu đến quý thầy, cô giáo và các em học sinh đề chính thức kỳ thi tuyển sinh vào lớp 10 THPT môn Toán (chuyên) năm học 2025 – 2026 sở Giáo dục và Đào tạo thành phố Hải Phòng. Đề thi có đáp án, lời giải chi tiết và hướng dẫn chấm điểm.
Trích dẫn Đề tuyển sinh lớp 10 môn Toán (chuyên) năm 2025 – 2026 sở GD&ĐT Hải Phòng:
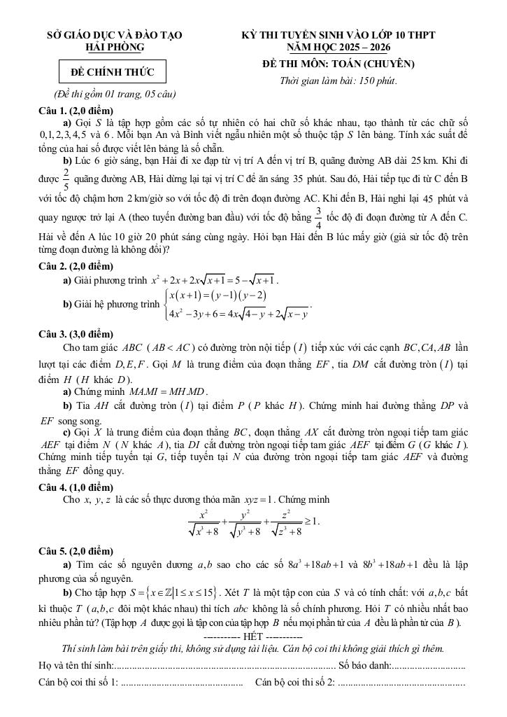
+ Gọi S là tập hợp gồm các số tự nhiên có hai chữ số khác nhau, tạo thành từ các chữ số 0, 1, 2, 3, 4, 5 và 6. Mỗi bạn An và Bình viết ngẫu nhiên một số thuộc tập S lên bảng. Tính xác suất để tổng của hai số được viết lên bảng là số chẵn.
+ Lúc 6 giờ sáng, bạn Hải đi xe đạp từ vị trí A đến vị trí B, quãng đường AB dài 25 km. Khi đi được 2/5 quãng đường AB, Hải dừng lại tại vị trí C để ăn sáng 35 phút. Sau đó, Hải tiếp tục đi từ C đến B với tốc độ chậm hơn 2 km/giờ so với tốc độ đi trên đoạn đường AC. Khi đến B, Hải nghỉ lại 45 phút và quay ngược trở lại A (theo tuyến đường ban đầu) với tốc độ bằng 3/4 tốc độ đi đoạn đường từ A đến C. Hải về đến A lúc 10 giờ 20 phút sáng cùng ngày. Hỏi bạn Hải đến B lúc mấy giờ (giả sử tốc độ trên từng đoạn đường là không đổi)?
+ Cho tập hợp S = {x ∈ Z | 1 ≤ x ≤ 15}. Xét T là một tập con của S và có tính chất: với a, b, c bất kì thuộc T (a, b, c đôi một khác nhau) thì tích abc không là số chính phương. Hỏi T có nhiều nhất bao nhiêu phần tử? (Tập hợp A được gọi là tập con của tập hợp B nếu mọi phần tử của A đều là phần tử của B).
File WORD (dành cho quý thầy, cô): TẢI XUỐNG










Giải Toán đề tuyển sinh lớp 10 môn toán (chuyên) năm 2025 – 2026 sở gd&đt hải phòng với Đáp Án Mới Nhất
Toán học luôn là một môn học quan trọng, giúp học sinh phát triển tư duy logic và kỹ năng giải quyết vấn đề. Để hỗ trợ các bạn học sinh và giáo viên trong việc học tập và giảng dạy, bài viết này sẽ cung cấp lời giải chi tiết và đáp án chính xác cho chủ đề đề tuyển sinh lớp 10 môn toán (chuyên) năm 2025 – 2026 sở gd&đt hải phòng, giúp bạn hiểu sâu và tự tin hơn khi làm bài tập.
đề tuyển sinh lớp 10 môn toán (chuyên) năm 2025 – 2026 sở gd&đt hải phòng là một trong những phần kiến thức quan trọng trong chương trình toán học, thường xuất hiện trong các bài kiểm tra và kỳ thi lớn. Việc nắm vững phần này không chỉ giúp bạn đạt điểm cao mà còn tạo nền tảng vững chắc để học các nội dung nâng cao hơn.
Chúng tôi cung cấp hướng dẫn từng bước giải bài tập, bao gồm:
Mỗi bài giải đều kèm theo lời giải thích chi tiết, giúp bạn hiểu không chỉ cách làm mà còn cả lý do tại sao nên áp dụng phương pháp đó.
Tất cả các bài tập đều đi kèm đáp án mới nhất, được kiểm tra kỹ lưỡng để đảm bảo độ chính xác cao. Điều này giúp bạn tự kiểm tra kết quả và khắc phục lỗi sai một cách nhanh chóng.
Ngoài ra, bài viết còn cung cấp các tài liệu bổ trợ như:
Chủ đề đề tuyển sinh lớp 10 môn toán (chuyên) năm 2025 – 2026 sở gd&đt hải phòng là một phần kiến thức thú vị và hữu ích trong toán học. Hãy sử dụng bài viết này như một công cụ hỗ trợ để bạn chinh phục mọi thử thách trong môn Toán. Đừng quên ôn tập thường xuyên và luyện tập nhiều dạng bài tập khác nhau để thành thạo hơn!
Chúc các bạn học tốt và đạt kết quả cao! 😊
>> Xem thêm đáp án chi tiết về: đề tuyển sinh lớp 10 môn toán (chuyên) năm 2025 – 2026 sở gd&đt hải phòng.