giaitoan.edu.vn giới thiệu đến quý thầy, cô giáo và các em học sinh đề cương ôn tập giữa học kì 1 môn Toán 9 năm học 2025 – 2026 trường THCS Thọ Lộc, xã Phúc Thọ, thành phố Hà Nội.
PHẦN I. TÓM TẮT NỘI DUNG KIẾN THỨC.
I. Phương trình và hệ hai phương trình bậc nhất hai ẩn.
– Khái niệm phương trình và hệ hai phương trình bậc nhất hai ẩn.
– Giải hệ hai phương trình bậc nhất hai ẩn.
– Giải bài toán bằng cách lập hệ phương trình.
II. Phương trình và bất phương trình bậc nhất một ẩn.
– Phương trình quy về phương trình bậc nhất một ẩn.
– Bất đẳng thức và tính chất.
– Bất phương trình bậc nhất một ẩn.
III. Hệ thức lượng trong tam giác vuông.
– Tỉ số lượng giác của góc nhọn.
– Một số hệ thức giữa cạnh, góc trong tam giác vuông và ứng dụng.
PHẦN II. MỘT SỐ BÀI TẬP THAM KHẢO.
I. Đại số.
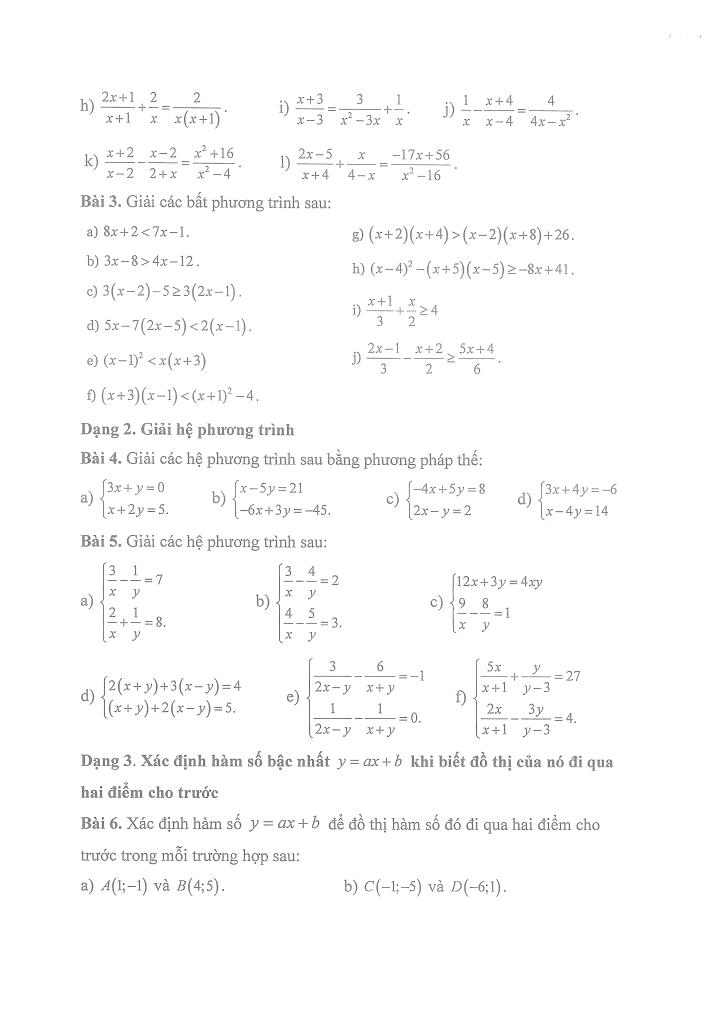
– Dạng 1. Giải phương trình và bất phương trình.
– Dạng 2. Giải hệ phương trình.
– Dạng 3. Xác định hàm số bậc nhất y = ax + b khi biết đồ thị của nó đi qua hai điểm cho trước.
– Dạng 4. Giải bài toán thực tế bằng cách lập hệ phương trình.
II. Hình học.
– Dạng 1. Rút gọn biểu thức tỉ số lượng giác của góc nhọn.
– Dạng 2. Tính độ dài cạnh, số đo góc. Giải tam giác vuông.
– Dạng 3. Ứng dụng của tỉ số lượng giác của góc nhọn trong thực tế.
– Dạng 4. Chứng minh đẳng thức.





Giải Toán đề cương giữa học kì 1 toán 9 năm 2025 – 2026 trường thcs thọ lộc – hà nội với Đáp Án Mới Nhất
Toán học luôn là một môn học quan trọng, giúp học sinh phát triển tư duy logic và kỹ năng giải quyết vấn đề. Để hỗ trợ các bạn học sinh và giáo viên trong việc học tập và giảng dạy, bài viết này sẽ cung cấp lời giải chi tiết và đáp án chính xác cho chủ đề đề cương giữa học kì 1 toán 9 năm 2025 – 2026 trường thcs thọ lộc – hà nội, giúp bạn hiểu sâu và tự tin hơn khi làm bài tập.
đề cương giữa học kì 1 toán 9 năm 2025 – 2026 trường thcs thọ lộc – hà nội là một trong những phần kiến thức quan trọng trong chương trình toán học, thường xuất hiện trong các bài kiểm tra và kỳ thi lớn. Việc nắm vững phần này không chỉ giúp bạn đạt điểm cao mà còn tạo nền tảng vững chắc để học các nội dung nâng cao hơn.
Chúng tôi cung cấp hướng dẫn từng bước giải bài tập, bao gồm:
Mỗi bài giải đều kèm theo lời giải thích chi tiết, giúp bạn hiểu không chỉ cách làm mà còn cả lý do tại sao nên áp dụng phương pháp đó.
Tất cả các bài tập đều đi kèm đáp án mới nhất, được kiểm tra kỹ lưỡng để đảm bảo độ chính xác cao. Điều này giúp bạn tự kiểm tra kết quả và khắc phục lỗi sai một cách nhanh chóng.
Ngoài ra, bài viết còn cung cấp các tài liệu bổ trợ như:
Chủ đề đề cương giữa học kì 1 toán 9 năm 2025 – 2026 trường thcs thọ lộc – hà nội là một phần kiến thức thú vị và hữu ích trong toán học. Hãy sử dụng bài viết này như một công cụ hỗ trợ để bạn chinh phục mọi thử thách trong môn Toán. Đừng quên ôn tập thường xuyên và luyện tập nhiều dạng bài tập khác nhau để thành thạo hơn!
Chúc các bạn học tốt và đạt kết quả cao! 😊
>> Xem thêm đáp án chi tiết về: đề cương giữa học kì 1 toán 9 năm 2025 – 2026 trường thcs thọ lộc – hà nội.