Tài liệu gồm 24 trang, được biên soạn bởi các tác giả Lê Phúc Lữ và Trần Nhật Quang, hướng dẫn sử dụng phép thế triệt tiêu cho bài toán phương trình hàm trên R+.
Trong quá trình giải các bài toán phương trình hàm trên tập R+, phép thế triệt tiêu là một cách tiếp cận bước đầu rất điển hình. Ta có thể hình dung nó thông qua 2 dạng:
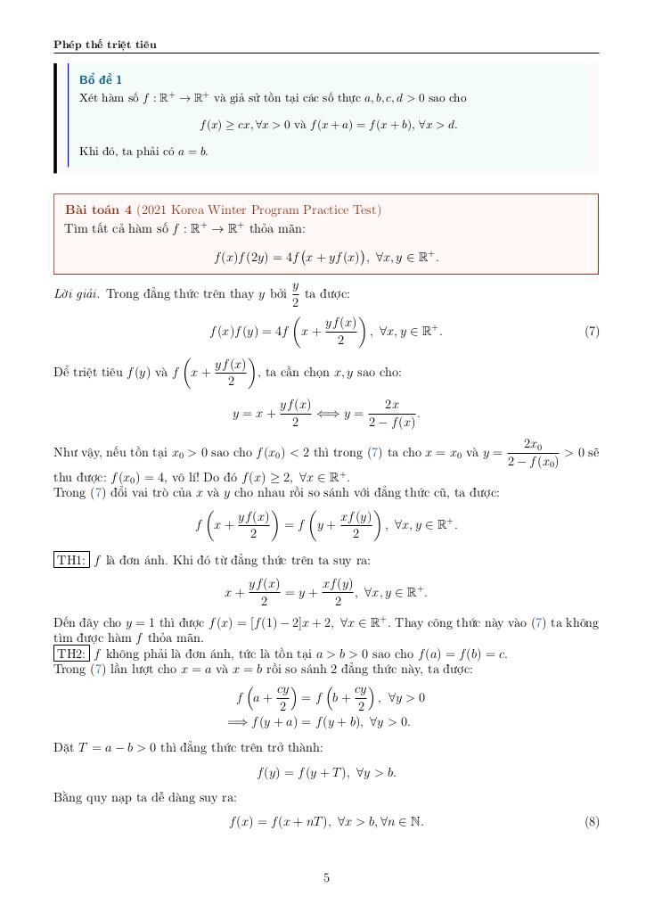
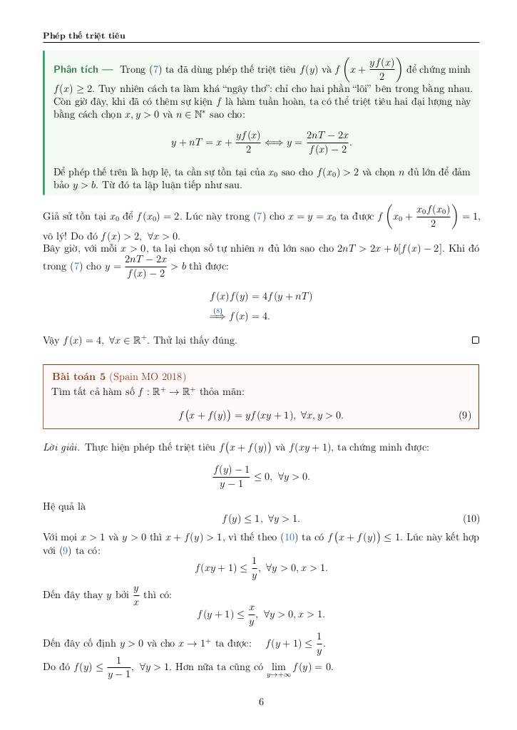
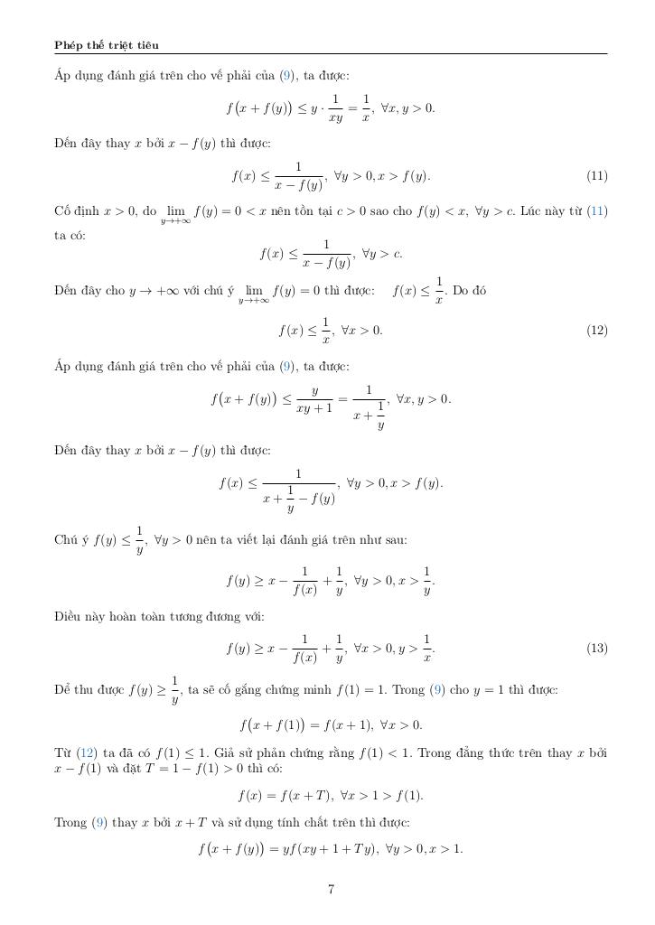
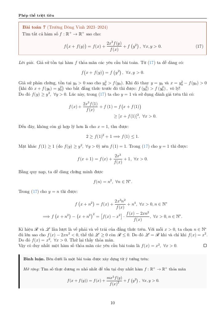
(i) Trực tiếp, tức là với đề bài cho f(A) = f(B) + C với A, B, C là các biểu thức chứa biến x, y; ta sẽ chọn x, y để A = B làm cho triệt tiêu được các đại lượng giống nhau ở hai vế và thông thường thu được mâu thuẫn, khi đó ta sẽ có A = B vô nghiệm và tạo thành điều kiện đánh giá mới cho f.
(ii) Gián tiếp, biểu thức không chứa sẵn hai f ở hai vế, ta cần đánh giá bất đẳng thức thêm rồi mới chọn được giá trị cho các biến sau.
Trong bài viết nhỏ này, ta sẽ cùng tìm hiểu các cách áp dụng ý tưởng này thông qua những bài cụ thể, và hai kiểu thế triệt tiêu trực tiếp và gián tiếp.
Xem thêm đáp án: sử dụng phép thế triệt tiêu cho bài toán phương trình hàm trên r+










Giải Toán sử dụng phép thế triệt tiêu cho bài toán phương trình hàm trên r+ với Đáp Án Mới Nhất
Toán học luôn là một môn học quan trọng, giúp học sinh phát triển tư duy logic và kỹ năng giải quyết vấn đề. Để hỗ trợ các bạn học sinh và giáo viên trong việc học tập và giảng dạy, bài viết này sẽ cung cấp lời giải chi tiết và đáp án chính xác cho chủ đề sử dụng phép thế triệt tiêu cho bài toán phương trình hàm trên r+, giúp bạn hiểu sâu và tự tin hơn khi làm bài tập.
sử dụng phép thế triệt tiêu cho bài toán phương trình hàm trên r+ là một trong những phần kiến thức quan trọng trong chương trình toán học, thường xuất hiện trong các bài kiểm tra và kỳ thi lớn. Việc nắm vững phần này không chỉ giúp bạn đạt điểm cao mà còn tạo nền tảng vững chắc để học các nội dung nâng cao hơn.
Chúng tôi cung cấp hướng dẫn từng bước giải bài tập, bao gồm:
Mỗi bài giải đều kèm theo lời giải thích chi tiết, giúp bạn hiểu không chỉ cách làm mà còn cả lý do tại sao nên áp dụng phương pháp đó.
Tất cả các bài tập đều đi kèm đáp án mới nhất, được kiểm tra kỹ lưỡng để đảm bảo độ chính xác cao. Điều này giúp bạn tự kiểm tra kết quả và khắc phục lỗi sai một cách nhanh chóng.
Ngoài ra, bài viết còn cung cấp các tài liệu bổ trợ như:
Chủ đề sử dụng phép thế triệt tiêu cho bài toán phương trình hàm trên r+ là một phần kiến thức thú vị và hữu ích trong toán học. Hãy sử dụng bài viết này như một công cụ hỗ trợ để bạn chinh phục mọi thử thách trong môn Toán. Đừng quên ôn tập thường xuyên và luyện tập nhiều dạng bài tập khác nhau để thành thạo hơn!
Chúc các bạn học tốt và đạt kết quả cao! 😊
>> Xem thêm đáp án chi tiết về: sử dụng phép thế triệt tiêu cho bài toán phương trình hàm trên r+.