Tài liệu gồm 42 trang, bao gồm tóm tắt lý thuyết, các dạng bài tập và bài tập tự luyện chủ đề số thực môn Toán 7, có đáp số và hướng dẫn giải.
BÀI 1. LÀM QUEN VỚI SỐ THẬP PHÂN VÔ HẠN TUẦN HOÀN.
Dạng 1. Nhận biết số thập phân hữu hạn và số thập phân vô hạn tuần hoàn.
Dạng 2. Viết một phân số dưới dạng số thập phân.
Phương pháp giải: Để viết phân số a/b dưới dạng số thập phân ta thực hiện phép chia a : b.
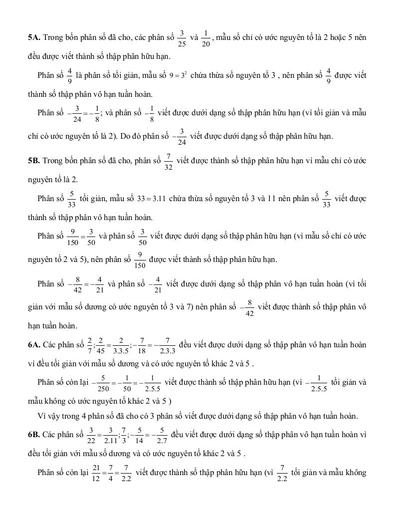
Dạng 3. Nhận biết một phân số viết được dưới dạng số thập phân hữu hạn hay vô hạn tuần hoàn.
Phương pháp giải:
+ Bước 1. Rút gọn phân số về dạng phân số tối giản (nếu có).
+ Bước 2. Viết phân số dưới dạng có mẫu số dương, nếu thấy mẫu số không có ước nguyên tố khác 2 và 5 thì kết luận ngay phân số viết được thành số thập phân hữu hạn. Nếu thấy mẫu số có ước nguyên tố khác 2 và 5 thì rút gọn phân số cho đến khi được phân số tối giản và chuyển sang bước 3.
+ Bước 3. Nếu mẫu không có ước nguyên tố khác 2 và 5 thì phân số được viết dưới dạng số thập phân hữu hạn. Nếu mẫu có ước nguyên tố khác 2 và 5 thì phân số đó được viết dưới dạng số thập phân vô hạn tuần hoàn.
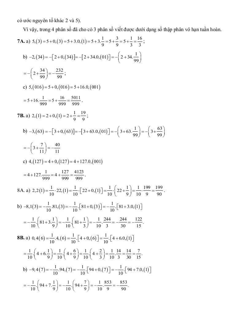
Dạng 4. Viết số thập phân vô hạn tuần hoàn dưới dạng phân số tối giản.
Phương pháp giải: Để viết số thập phân vô hạn tuần hoàn dưới dạng phân số tối giản, ta vận dụng kiến thức sau: 1/9 = 0,(1); 1/99 = 0,(01); 1/999 = 0,(001); ….
Dạng 5. Làm tròn số thập phân.
Phương pháp giải:
Để làm tròn số thập phân đến một hàng đã cho, ta thực hiện làm tròn theo quy tắc sau: Giữ nguyên nếu chữ số ngay bên phải nhỏ hơn 5; tăng 1 đơn vị nếu chữ số ngay bên phải lớn hơn hay bằng 5. Đối với các chữ số sau hàng làm tròn, ta bỏ đi các chữ số ở phần thập phân và thay bởi các chữ số ở phần số nguyên bằng các chữ số 0.
Để làm tròn số thập phân với độ chính xác đã cho, ta thực hiện theo các bước sau:
+ Bước 1: Xác định hàng làm tròn dựa vào độ chính xác.
+ Bước 2: Làm tròn theo cách làm tròn số thập phân đến một hàng đã cho.
BÀI 2. SỐ VÔ TỈ. CĂN BẬC HAI SỐ HỌC.
Dạng 1. Tìm căn bậc hai số học của một số cho trước (trong những trường hợp thuận lợi).
Phương pháp giải: Trường hợp thuận lợi nhất là khi số đã cho được viết dưới dạng a2 thì căn bậc hai cần tìm bằng a (nếu a /> 0) và bằng −a (nếu a < 0). Như vậy, trong một số trường hợp, để tìm căn bậc hai số học của một số, ta phân tích số đó ra thừa số nguyên tố và biến đổi số đó thành bình phương của một số.
Dạng 2. Tìm một số khi biết căn bậc hai số học của nó.
Phương pháp giải: Nếu căn bậc hai số học của một số bằng a (a là một số không âm đã cho) thì số đó bằng a2. Không có số nào có căn bậc hai số học bằng một số âm đã cho.
Dạng 3. So sánh các căn bậc hai.
Phương pháp giải: Để so sách hai căn bậc hai số học, ta dùng tính chất sau: Nếu a, b là hai số không âm và a < b thì √a < √b.
Dạng 4. Sử dụng máy tính cầm tay để tính căn bậc hai số học.
BÀI 3. TẬP HỢP CÁC SỐ THỰC.
Dạng 1. Phần tử của tập hợp các số thực.
Dạng 2. Xác định số thực trên trục số.
Phương pháp giải: Trong các bài toán cho trục số đã được chia thành các đoạn nhỏ có độ dài bằng nhau và cho trước số thực được biểu diễn bởi 2 trong các điểm đầu mút của các đoạn chia, ta có thể xác định số thực được biểu diễn bởi các điểm trên trục số (trong một số trường hợp thuận lợi) bằng cách tính giá trị khoảng cách từ điểm đã biết đến điểm cần tính, sau đó xác định được giá trị của số thực được biểu diễn.
Dạng 3. So sánh hai số thực.
Phương pháp giải:
+ Muốn so sách hai căn bậc hai số học, ta dùng tính chất sau: Nếu a, b là hai số không âm và a < b thì √a < √b.
+ Muốn so sánh một căn bậc hai số học với một số a không âm đã cho, ta viết a = √a2 rồi so sánh căn bậc hai số học đã cho với √a2.
+ Muốn so sánh hai số thực âm, ta so sánh hai số đối của chúng, số nào có số đối lớn hơn thì nhỏ hơn (nếu a, b là hai số không âm và a < b thì -a /> -b).
Dạng 4. Giá trị tuyệt đối của một số thực.
Phương pháp giải:
+ Khi biết dấu của một số thực ta có thể tính được ngay giá trị tuyệt đối của nó bằng cách áp dụng tính chất sau: Nếu a ≥ 0 thì |a| = a, nếu a < 0 thì |a| = -a.
+ Giá trị tuyệt đối của một số luôn không âm.
+ Mỗi số a không âm đã cho là giá trị tuyệt đối của hai số thực a và -a, ngoài hai số này không còn số thực nào khác cũng có giá trị tuyệt đối bằng a.
Dạng 5. Các phép toán trong tập số thực.
File WORD (dành cho quý thầy, cô): TẢI XUỐNG










Giải Toán tóm tắt lý thuyết và các dạng bài tập số thực toán 7 với Đáp Án Mới Nhất
Toán học luôn là một môn học quan trọng, giúp học sinh phát triển tư duy logic và kỹ năng giải quyết vấn đề. Để hỗ trợ các bạn học sinh và giáo viên trong việc học tập và giảng dạy, bài viết này sẽ cung cấp lời giải chi tiết và đáp án chính xác cho chủ đề tóm tắt lý thuyết và các dạng bài tập số thực toán 7, giúp bạn hiểu sâu và tự tin hơn khi làm bài tập.
tóm tắt lý thuyết và các dạng bài tập số thực toán 7 là một trong những phần kiến thức quan trọng trong chương trình toán học, thường xuất hiện trong các bài kiểm tra và kỳ thi lớn. Việc nắm vững phần này không chỉ giúp bạn đạt điểm cao mà còn tạo nền tảng vững chắc để học các nội dung nâng cao hơn.
Chúng tôi cung cấp hướng dẫn từng bước giải bài tập, bao gồm:
Mỗi bài giải đều kèm theo lời giải thích chi tiết, giúp bạn hiểu không chỉ cách làm mà còn cả lý do tại sao nên áp dụng phương pháp đó.
Tất cả các bài tập đều đi kèm đáp án mới nhất, được kiểm tra kỹ lưỡng để đảm bảo độ chính xác cao. Điều này giúp bạn tự kiểm tra kết quả và khắc phục lỗi sai một cách nhanh chóng.
Ngoài ra, bài viết còn cung cấp các tài liệu bổ trợ như:
Chủ đề tóm tắt lý thuyết và các dạng bài tập số thực toán 7 là một phần kiến thức thú vị và hữu ích trong toán học. Hãy sử dụng bài viết này như một công cụ hỗ trợ để bạn chinh phục mọi thử thách trong môn Toán. Đừng quên ôn tập thường xuyên và luyện tập nhiều dạng bài tập khác nhau để thành thạo hơn!
Chúc các bạn học tốt và đạt kết quả cao! 😊
>> Xem thêm đáp án chi tiết về: tóm tắt lý thuyết và các dạng bài tập số thực toán 7.