giaitoan.edu.vn giới thiệu đến quý thầy, cô giáo và các em học sinh đề chính thức kỳ thi chọn đội tuyển học sinh giỏi tỉnh môn Toán 9 năm học 2025 – 2026 phường Tân Mai, tỉnh Nghệ An.
Trích dẫn Đề chọn đội tuyển HSG Toán 9 năm 2025 – 2026 phường Tân Mai – Nghệ An:
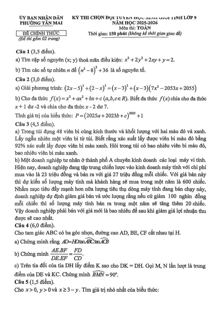
+ Trong túi đựng 48 viên bi cùng kích thước và khối lượng với hai màu đỏ và xanh. Lấy ngẫu nhiên một viên bi từ túi. Biết rằng xác suất lấy được viên bi màu đỏ bằng 92% xác suất lấy được viên bi màu xanh. Hỏi trong túi có bao nhiêu viên bi màu đỏ, bao nhiêu viên bi màu xanh.
+ Một doanh nghiệp tư nhân ở thành phố A chuyên kinh doanh các loại máy vi tính. Hiện nay, doanh nghiệp đang tập trung chiến lược vào kinh doanh máy tính với chi phí mua vào là 23 triệu đồng và bán ra với giá 27 triệu đồng mỗi chiếc. Với giá bán này thì dự kiến số lượng máy tính mà khách hàng sẽ mua trong một năm là 600 chiếc. Nhằm mục tiêu đẩy mạnh hơn nữa lượng tiêu thụ dòng máy tính đang bán chạy này, doanh nghiệp dự định giảm giá bán và ước lượng rằng nếu cứ giảm 100 nghìn đồng mỗi chiếc thì số lượng máy tính bán ra trong một năm sẽ tăng thêm 20 chiếc. Vậy doanh nghiệp phải bán với giá mới là bao nhiêu để sau khi giảm giá lợi nhuận thu được sẽ cao nhất.
+ Cho đa giác đều gồm 2025 cạnh. Người ta sơn các đỉnh của đa giác bằng hai màu xanh và đỏ. Chứng minh rằng tồn tại ba đỉnh được sơn cùng một màu tạo thành một tam giác cân.


Giải Toán đề chọn đội tuyển hsg toán 9 năm 2025 – 2026 phường tân mai – nghệ an với Đáp Án Mới Nhất
Toán học luôn là một môn học quan trọng, giúp học sinh phát triển tư duy logic và kỹ năng giải quyết vấn đề. Để hỗ trợ các bạn học sinh và giáo viên trong việc học tập và giảng dạy, bài viết này sẽ cung cấp lời giải chi tiết và đáp án chính xác cho chủ đề đề chọn đội tuyển hsg toán 9 năm 2025 – 2026 phường tân mai – nghệ an, giúp bạn hiểu sâu và tự tin hơn khi làm bài tập.
đề chọn đội tuyển hsg toán 9 năm 2025 – 2026 phường tân mai – nghệ an là một trong những phần kiến thức quan trọng trong chương trình toán học, thường xuất hiện trong các bài kiểm tra và kỳ thi lớn. Việc nắm vững phần này không chỉ giúp bạn đạt điểm cao mà còn tạo nền tảng vững chắc để học các nội dung nâng cao hơn.
Chúng tôi cung cấp hướng dẫn từng bước giải bài tập, bao gồm:
Mỗi bài giải đều kèm theo lời giải thích chi tiết, giúp bạn hiểu không chỉ cách làm mà còn cả lý do tại sao nên áp dụng phương pháp đó.
Tất cả các bài tập đều đi kèm đáp án mới nhất, được kiểm tra kỹ lưỡng để đảm bảo độ chính xác cao. Điều này giúp bạn tự kiểm tra kết quả và khắc phục lỗi sai một cách nhanh chóng.
Ngoài ra, bài viết còn cung cấp các tài liệu bổ trợ như:
Chủ đề đề chọn đội tuyển hsg toán 9 năm 2025 – 2026 phường tân mai – nghệ an là một phần kiến thức thú vị và hữu ích trong toán học. Hãy sử dụng bài viết này như một công cụ hỗ trợ để bạn chinh phục mọi thử thách trong môn Toán. Đừng quên ôn tập thường xuyên và luyện tập nhiều dạng bài tập khác nhau để thành thạo hơn!
Chúc các bạn học tốt và đạt kết quả cao! 😊
>> Xem thêm đáp án chi tiết về: đề chọn đội tuyển hsg toán 9 năm 2025 – 2026 phường tân mai – nghệ an.