giaitoan.edu.vn giới thiệu đến quý thầy, cô giáo và các em học sinh đề chính thức kỳ thi chọn đội tuyển dự thi học sinh giỏi Quốc gia môn Toán THPT năm học 2025 – 2026 sở Giáo dục và Đào tạo tỉnh Hà Tĩnh. Kỳ thi được diễn ra vào ngày 10 và ngày 11 tháng 09 năm 2025. Đề thi có đáp án và lời giải chi tiết.
Trích dẫn Đề chọn đội tuyển thi HSG QG môn Toán THPT năm 2025 – 2026 sở GD&ĐT Hà Tĩnh:
+ Cho tam giác ABC (AB < AC) nội tiếp đường tròn (O). Gọi M là trung điểm của đoạn thẳng BC, D là điểm bất kỳ nằm trên đoạn thẳng CM. Lấy E, F lần lượt là hình chiếu của B, C trên đường thẳng AD. Gọi G là giao điểm của đường thẳng qua E song song với AB và đường thẳng qua F song song với AC, K là tâm đường tròn ngoại tiếp tam giác GEF. a) Chứng minh rằng OKD = 90°. b) Gọi N là trung điểm của OA. Chứng minh rằng NM = NK.
+ An và Bình chơi trò chơi trên bảng 8 x 8. Hai bạn thay phiên nhau đi. Mỗi bước, An đánh dấu một ô trống nào đó (chưa được đánh dấu cũng như không bị phủ bởi các quân domino). Còn mỗi bước, Bình được phép chọn 2 ô kề nhau và phủ chúng bởi một quân domino sao cho hai ô này đều chưa bị phủ bởi domino, và tổng số ô bị đánh dấu mà quân domino đó phủ lên là 0 hoặc 2 (tức là, hoặc cả hai ô đều đã bị đánh dấu, hoặc cả hai ô đều chưa bị đánh dấu). Người nào không thể đi được nữa thì thua. Hỏi ai có chiến lược thắng cuộc nếu: a) An là người đi trước? b) Bình là người đi trước? Một domino là một hình chữ nhật gồm hai ô kề nhau.
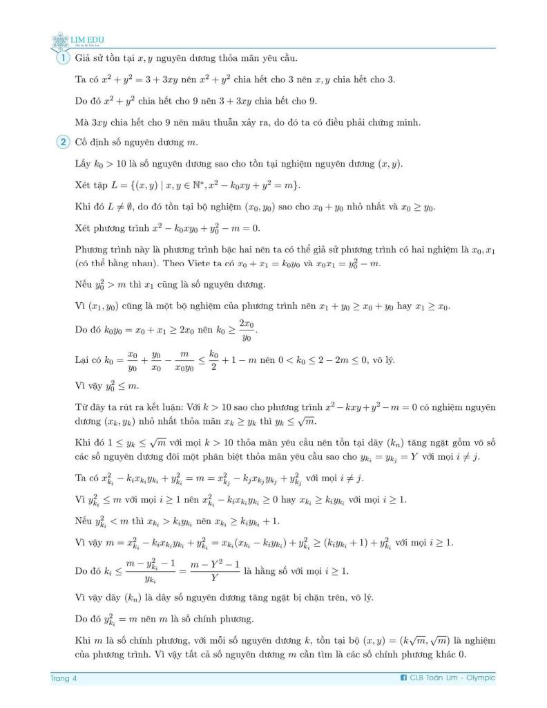
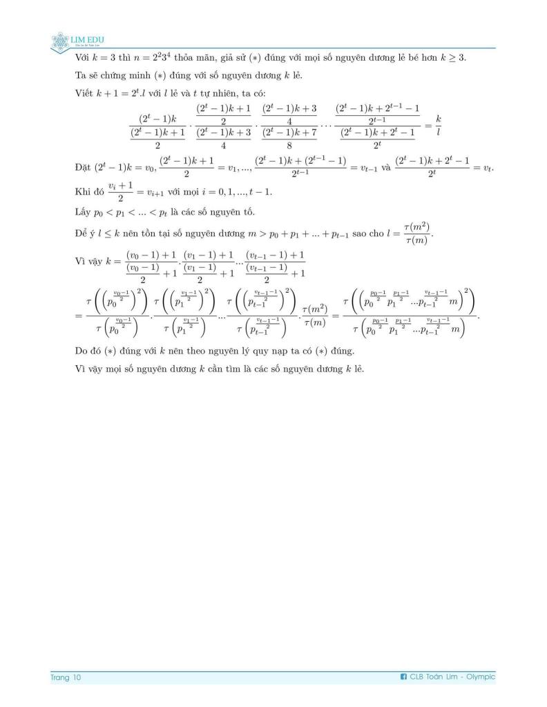
+ Với số nguyên dương n, kí hiệu τ(n) là số các ước số nguyên dương của n (kể cả 1 và n). a) Chứng minh rằng phương trình τ(n) = 2025 có vô số nghiệm. b) Hãy tìm tất cả số nguyên dương k sao cho τ(n2) = kτ(n) với n nguyên dương nào đó.










Giải Toán đề chọn đội tuyển thi hsg qg môn toán thpt năm 2025 – 2026 sở gd&đt hà tĩnh với Đáp Án Mới Nhất
Toán học luôn là một môn học quan trọng, giúp học sinh phát triển tư duy logic và kỹ năng giải quyết vấn đề. Để hỗ trợ các bạn học sinh và giáo viên trong việc học tập và giảng dạy, bài viết này sẽ cung cấp lời giải chi tiết và đáp án chính xác cho chủ đề đề chọn đội tuyển thi hsg qg môn toán thpt năm 2025 – 2026 sở gd&đt hà tĩnh, giúp bạn hiểu sâu và tự tin hơn khi làm bài tập.
đề chọn đội tuyển thi hsg qg môn toán thpt năm 2025 – 2026 sở gd&đt hà tĩnh là một trong những phần kiến thức quan trọng trong chương trình toán học, thường xuất hiện trong các bài kiểm tra và kỳ thi lớn. Việc nắm vững phần này không chỉ giúp bạn đạt điểm cao mà còn tạo nền tảng vững chắc để học các nội dung nâng cao hơn.
Chúng tôi cung cấp hướng dẫn từng bước giải bài tập, bao gồm:
Mỗi bài giải đều kèm theo lời giải thích chi tiết, giúp bạn hiểu không chỉ cách làm mà còn cả lý do tại sao nên áp dụng phương pháp đó.
Tất cả các bài tập đều đi kèm đáp án mới nhất, được kiểm tra kỹ lưỡng để đảm bảo độ chính xác cao. Điều này giúp bạn tự kiểm tra kết quả và khắc phục lỗi sai một cách nhanh chóng.
Ngoài ra, bài viết còn cung cấp các tài liệu bổ trợ như:
Chủ đề đề chọn đội tuyển thi hsg qg môn toán thpt năm 2025 – 2026 sở gd&đt hà tĩnh là một phần kiến thức thú vị và hữu ích trong toán học. Hãy sử dụng bài viết này như một công cụ hỗ trợ để bạn chinh phục mọi thử thách trong môn Toán. Đừng quên ôn tập thường xuyên và luyện tập nhiều dạng bài tập khác nhau để thành thạo hơn!
Chúc các bạn học tốt và đạt kết quả cao! 😊
>> Xem thêm đáp án chi tiết về: đề chọn đội tuyển thi hsg qg môn toán thpt năm 2025 – 2026 sở gd&đt hà tĩnh.