giaitoan.edu.vn giới thiệu đến quý thầy, cô giáo và các em học sinh đề chính thức kỳ thi chọn đội tuyển dự thi học sinh giỏi Quốc gia môn Toán THPT năm học 2025 – 2026 sở Giáo dục và Đào tạo tỉnh Khánh Hòa. Kỳ thi được diễn ra trong hai ngày 23 và 24 tháng 09 năm 2025. Đề thi có đáp án và lời giải chi tiết.
Trích dẫn Đề chọn đội tuyển thi HSG QG môn Toán THPT năm 2025 – 2026 sở GD&ĐT Khánh Hòa:
+ Cho tam giác nhọn ABC (AB < AC) nội tiếp đường tròn (O). Kẻ ba đường cao AD, BE, CF của tam giác ABC. Đường thẳng EF cắt (O) tại hai điểm M, N sao cho E nằm giữa F và N. Đường thẳng BC cắt EF tại P. Đường thẳng đi qua D và song song với EF cắt AB, AC, CF lần lượt tại Q, R, S. Gọi I, J lần lượt là tâm đường tròn ngoại tiếp các tam giác DEF và DMN. a) Chứng minh ba đường tròn (PQR), (DEF), (DMN) cùng đi qua một điểm. b) Chứng minh hai đường thẳng IJ và AD song song với nhau. c) Chứng minh D là trung điểm của đoạn thẳng QS.
+ Cho đa thức P(x) = 5(x – 4)^2.(x – 6) + 1. a) Chứng minh P(x) có ba nghiệm thực phân biệt. b) Gọi ba nghiệm thực phân biệt của P(x) là a, b, c. Chứng minh a, b, c là độ dài ba cạnh của một tam giác và tính bán kính đường tròn nội tiếp của tam giác đó.
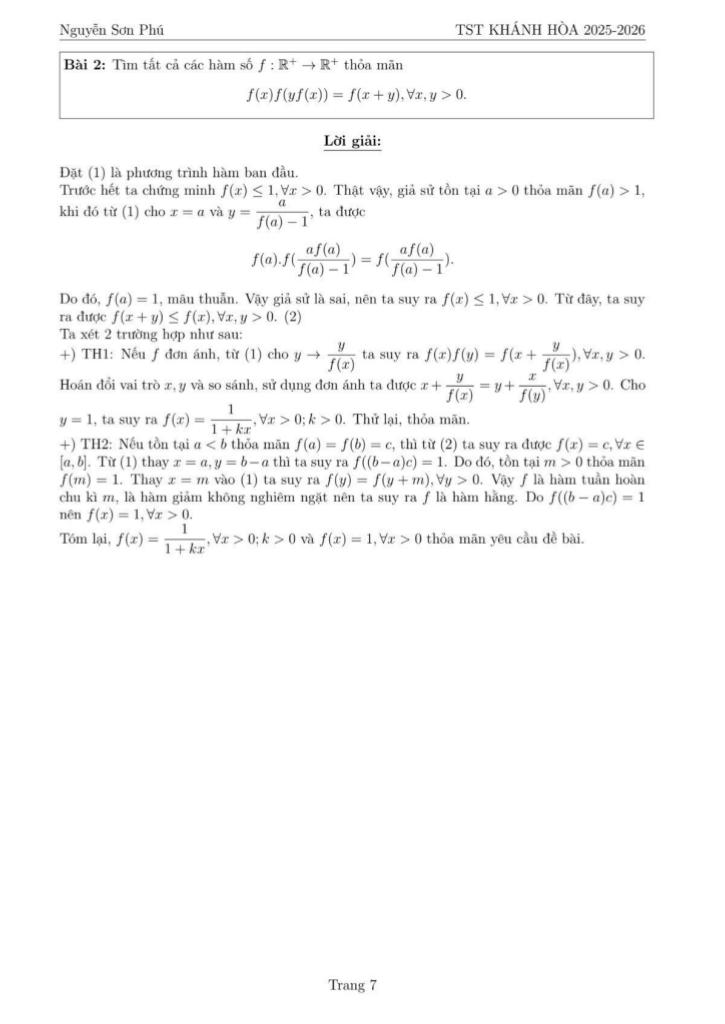
+ Tìm tất cả các hàm số f: R+ → R+ thỏa mãn f(x)f(yf(x)) = f(x + y) với mọi x, y /> 0.










Giải Toán đề chọn đội tuyển thi hsg qg môn toán thpt năm 2025 – 2026 sở gd&đt khánh hòa với Đáp Án Mới Nhất
Toán học luôn là một môn học quan trọng, giúp học sinh phát triển tư duy logic và kỹ năng giải quyết vấn đề. Để hỗ trợ các bạn học sinh và giáo viên trong việc học tập và giảng dạy, bài viết này sẽ cung cấp lời giải chi tiết và đáp án chính xác cho chủ đề đề chọn đội tuyển thi hsg qg môn toán thpt năm 2025 – 2026 sở gd&đt khánh hòa, giúp bạn hiểu sâu và tự tin hơn khi làm bài tập.
đề chọn đội tuyển thi hsg qg môn toán thpt năm 2025 – 2026 sở gd&đt khánh hòa là một trong những phần kiến thức quan trọng trong chương trình toán học, thường xuất hiện trong các bài kiểm tra và kỳ thi lớn. Việc nắm vững phần này không chỉ giúp bạn đạt điểm cao mà còn tạo nền tảng vững chắc để học các nội dung nâng cao hơn.
Chúng tôi cung cấp hướng dẫn từng bước giải bài tập, bao gồm:
Mỗi bài giải đều kèm theo lời giải thích chi tiết, giúp bạn hiểu không chỉ cách làm mà còn cả lý do tại sao nên áp dụng phương pháp đó.
Tất cả các bài tập đều đi kèm đáp án mới nhất, được kiểm tra kỹ lưỡng để đảm bảo độ chính xác cao. Điều này giúp bạn tự kiểm tra kết quả và khắc phục lỗi sai một cách nhanh chóng.
Ngoài ra, bài viết còn cung cấp các tài liệu bổ trợ như:
Chủ đề đề chọn đội tuyển thi hsg qg môn toán thpt năm 2025 – 2026 sở gd&đt khánh hòa là một phần kiến thức thú vị và hữu ích trong toán học. Hãy sử dụng bài viết này như một công cụ hỗ trợ để bạn chinh phục mọi thử thách trong môn Toán. Đừng quên ôn tập thường xuyên và luyện tập nhiều dạng bài tập khác nhau để thành thạo hơn!
Chúc các bạn học tốt và đạt kết quả cao! 😊
>> Xem thêm đáp án chi tiết về: đề chọn đội tuyển thi hsg qg môn toán thpt năm 2025 – 2026 sở gd&đt khánh hòa.