giaitoan.edu.vn giới thiệu đến quý thầy, cô giáo và các em học sinh đề thi chọn đội tuyển dự thi học sinh giỏi cấp tỉnh môn Toán 9 năm học 2025 – 2026 xã Quảng Bình, tỉnh Thanh Hóa. Kỳ thi được diễn ra vào ngày 01 tháng 10 năm 2025.
Trích dẫn Đề chọn đội tuyển thi HSG tỉnh Toán 9 năm 2025 – 2026 xã Quảng Bình – Thanh Hóa:
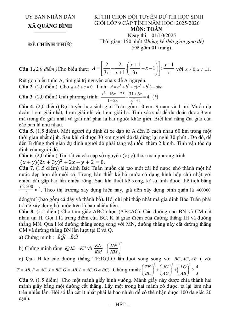
+ Đội tuyển học sinh giỏi Toán gồm 10 em: 9 nam và 1 nữ. Muốn dự đoán 1 em giải nhất, 1 em giải nhì và 1 em giải ba. Tính xác suất để dự đoán được 3 em mà trong đó giải nhất và giải nhì phải là hai người khác giới. Biết khả năng đạt giải của các bạn là như nhau.
+ Một người dự định đi xe đạp từ A đến B cách nhau 60 km trong một thời gian nhất định. Sau khi đi được 30 km người đó đã dừng lại nghỉ 30 phút. Do đó, để đến B đúng thời gian dự định người đó phải tăng vận tốc thêm 2 km/h. Tính vận tốc dự định của người đó.
+ Cho một mảnh giấy hình vuông. Mảnh giấy này dược chia thành hai mảnh giấy bằng một đường cắt thẳng. Lấy một trong hai mảnh có được, ta lại làm như trên nhiều lần. Hỏi số lần cắt ít nhất phải là bao nhiêu đế có thẻ nhận được 100 đa giác 20 cạnh.
File WORD (dành cho quý thầy, cô): TẢI XUỐNG








Giải Toán đề chọn đội tuyển thi hsg tỉnh toán 9 năm 2025 – 2026 xã quảng bình – thanh hóa với Đáp Án Mới Nhất
Toán học luôn là một môn học quan trọng, giúp học sinh phát triển tư duy logic và kỹ năng giải quyết vấn đề. Để hỗ trợ các bạn học sinh và giáo viên trong việc học tập và giảng dạy, bài viết này sẽ cung cấp lời giải chi tiết và đáp án chính xác cho chủ đề đề chọn đội tuyển thi hsg tỉnh toán 9 năm 2025 – 2026 xã quảng bình – thanh hóa, giúp bạn hiểu sâu và tự tin hơn khi làm bài tập.
đề chọn đội tuyển thi hsg tỉnh toán 9 năm 2025 – 2026 xã quảng bình – thanh hóa là một trong những phần kiến thức quan trọng trong chương trình toán học, thường xuất hiện trong các bài kiểm tra và kỳ thi lớn. Việc nắm vững phần này không chỉ giúp bạn đạt điểm cao mà còn tạo nền tảng vững chắc để học các nội dung nâng cao hơn.
Chúng tôi cung cấp hướng dẫn từng bước giải bài tập, bao gồm:
Mỗi bài giải đều kèm theo lời giải thích chi tiết, giúp bạn hiểu không chỉ cách làm mà còn cả lý do tại sao nên áp dụng phương pháp đó.
Tất cả các bài tập đều đi kèm đáp án mới nhất, được kiểm tra kỹ lưỡng để đảm bảo độ chính xác cao. Điều này giúp bạn tự kiểm tra kết quả và khắc phục lỗi sai một cách nhanh chóng.
Ngoài ra, bài viết còn cung cấp các tài liệu bổ trợ như:
Chủ đề đề chọn đội tuyển thi hsg tỉnh toán 9 năm 2025 – 2026 xã quảng bình – thanh hóa là một phần kiến thức thú vị và hữu ích trong toán học. Hãy sử dụng bài viết này như một công cụ hỗ trợ để bạn chinh phục mọi thử thách trong môn Toán. Đừng quên ôn tập thường xuyên và luyện tập nhiều dạng bài tập khác nhau để thành thạo hơn!
Chúc các bạn học tốt và đạt kết quả cao! 😊
>> Xem thêm đáp án chi tiết về: đề chọn đội tuyển thi hsg tỉnh toán 9 năm 2025 – 2026 xã quảng bình – thanh hóa.