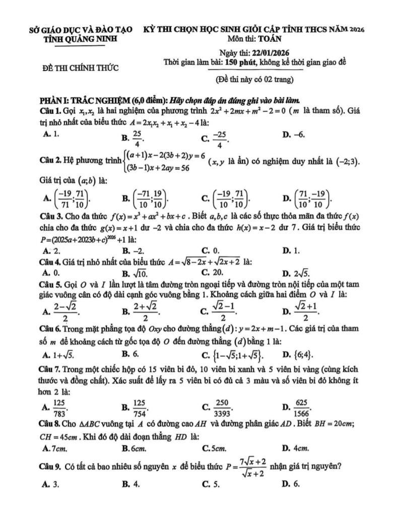
giaitoan.edu.vn giới thiệu đến quý thầy, cô giáo và các em học sinh đề thi chọn học sinh giỏi cấp tỉnh môn Toán THCS năm học 2025 – 2026 sở Giáo dục và Đào tạo tỉnh Quảng Ninh. Đề thi gồm 12 câu trắc nghiệm (6,0 điểm) + 07 câu tự luận (14,0 điểm), thời gian làm bài 150 phút, có đáp án và lời giải chi tiết. Kỳ thi được diễn ra vào ngày 22 tháng 01 năm 2026.
Trích dẫn Đề chọn học sinh giỏi cấp tỉnh Toán THCS năm 2026 sở GD&ĐT Quảng Ninh:
+ Cho tam giác ABC đều nội tiếp đường tròn (O;R). Lấy M là một điểm bất kỳ trên cạnh BC. Từ M kẻ ME vuông góc với AB (E thuộc AB) và MF vuông góc với AC (F thuộc AC). Gọi I, D lần lượt là trung điểm của AM, BC và K là giao điểm của ID và EF. a) Chứng minh OK = 1/giaitoan.edu.vn. b) Giả sử MD = 1/giaitoan.edu.vn. Tính OK theo R. c) Gọi N là trung điểm của MC. Đường thẳng đi qua N vuông góc với BC cắt MF và AC lần lượt tại T và H. Gọi L là giao điểm của CT và MH. Chứng minh ITL = MTB.
+ Bạn Hùng chia một tờ giấy làm 4 miếng hoặc 8 miếng rời nhau, rồi lấy một trong các miếng nhỏ vừa có, chia tiếp ra làm 4 miếng hoặc 8 miếng nhỏ hơn. Cứ tiếp tục thực hiện chia như vậy nhiều lần cho đến khi được 2026 miếng. Hỏi bạn Hùng cần ít nhất bao nhiêu lần chia?
+ Trong bộ đồ dùng học tập bạn An có 5 hộp màu nước khác nhau. Hỏi bạn An có tất cả bao nhiêu cách chọn hộp màu để mang ra vẽ tranh?










Giải Toán đề chọn học sinh giỏi cấp tỉnh toán thcs năm 2026 sở gd&đt quảng ninh với Đáp Án Mới Nhất
Toán học luôn là một môn học quan trọng, giúp học sinh phát triển tư duy logic và kỹ năng giải quyết vấn đề. Để hỗ trợ các bạn học sinh và giáo viên trong việc học tập và giảng dạy, bài viết này sẽ cung cấp lời giải chi tiết và đáp án chính xác cho chủ đề đề chọn học sinh giỏi cấp tỉnh toán thcs năm 2026 sở gd&đt quảng ninh, giúp bạn hiểu sâu và tự tin hơn khi làm bài tập.
đề chọn học sinh giỏi cấp tỉnh toán thcs năm 2026 sở gd&đt quảng ninh là một trong những phần kiến thức quan trọng trong chương trình toán học, thường xuất hiện trong các bài kiểm tra và kỳ thi lớn. Việc nắm vững phần này không chỉ giúp bạn đạt điểm cao mà còn tạo nền tảng vững chắc để học các nội dung nâng cao hơn.
Chúng tôi cung cấp hướng dẫn từng bước giải bài tập, bao gồm:
Mỗi bài giải đều kèm theo lời giải thích chi tiết, giúp bạn hiểu không chỉ cách làm mà còn cả lý do tại sao nên áp dụng phương pháp đó.
Tất cả các bài tập đều đi kèm đáp án mới nhất, được kiểm tra kỹ lưỡng để đảm bảo độ chính xác cao. Điều này giúp bạn tự kiểm tra kết quả và khắc phục lỗi sai một cách nhanh chóng.
Ngoài ra, bài viết còn cung cấp các tài liệu bổ trợ như:
Chủ đề đề chọn học sinh giỏi cấp tỉnh toán thcs năm 2026 sở gd&đt quảng ninh là một phần kiến thức thú vị và hữu ích trong toán học. Hãy sử dụng bài viết này như một công cụ hỗ trợ để bạn chinh phục mọi thử thách trong môn Toán. Đừng quên ôn tập thường xuyên và luyện tập nhiều dạng bài tập khác nhau để thành thạo hơn!
Chúc các bạn học tốt và đạt kết quả cao! 😊
>> Xem thêm đáp án chi tiết về: đề chọn học sinh giỏi cấp tỉnh toán thcs năm 2026 sở gd&đt quảng ninh.