giaitoan.edu.vn giới thiệu đến quý thầy, cô giáo và các em học sinh đề thi chọn học sinh giỏi cấp tỉnh môn Toán 9 năm học 2025 – 2026 sở Giáo dục và Đào tạo tỉnh Thái Nguyên. Kỳ thi được diễn ra vào ngày 20 tháng 03 năm 2026.
Trích dẫn Đề chọn học sinh giỏi tỉnh Toán 9 năm 2025 – 2026 sở GD&ĐT Thái Nguyên:
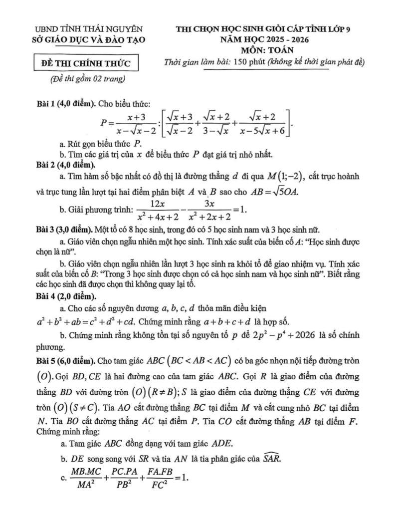
+ Một tổ có 8 học sinh, trong đó có 5 học sinh nam và 3 học sinh nữ. a. Giáo viên chọn ngẫu nhiên một học sinh. Tính xác suất của biến cố A: “Học sinh được chọn là nữ”. b. Giáo viên chọn ngẫu nhiên lần lượt 3 học sinh ra khỏi tổ để giao nhiệm vụ. Tính xác suất của biến cố B: “Trong 3 học sinh được chọn có cả học sinh nam và học sinh nữ”. Biết rằng các học sinh đã được chọn thì không quay lại tổ.
+ Cho tam giác ABC (BC < AB < AC) có ba góc nhọn nội tiếp đường tròn (O). Gọi BD, CE là hai đường cao của tam giác ABC. Gọi R là giao điểm của đường thẳng BD với đường tròn (O) (R khác B); S là giao điểm của đường thẳng CE với đường tròn (O) (S ≠ C). Tia AO cắt đường thẳng BC tại điểm M và cắt cung nhỏ BC tại điểm N. Tia BO cắt đường thẳng AC tại điểm P. Tia CO cắt đường thẳng AB tại điểm F. Chứng minh rằng: a. Tam giác ABC đồng dạng với tam giác ADE. b. DE song song với SR và tia AN là tia phân giác của SAR.
+ Trên bảng có viết các số tự nhiên từ 1 đến 2025. Bạn An thực hiện một thuật toán như sau: Mỗi lần, An chọn ra hai số a, b tùy ý, xóa hai số này đi và viết thay thế bởi một số bằng ab/(a + b + 1) lên bảng. Quy trình này sẽ thực hiện đến khi trên bảng chỉ còn một số duy nhất. Hỏi số còn lại trên bảng cuối cùng là số nào?


Giải Toán đề chọn học sinh giỏi tỉnh toán 9 năm 2025 – 2026 sở gd&đt thái nguyên với Đáp Án Mới Nhất
Toán học luôn là một môn học quan trọng, giúp học sinh phát triển tư duy logic và kỹ năng giải quyết vấn đề. Để hỗ trợ các bạn học sinh và giáo viên trong việc học tập và giảng dạy, bài viết này sẽ cung cấp lời giải chi tiết và đáp án chính xác cho chủ đề đề chọn học sinh giỏi tỉnh toán 9 năm 2025 – 2026 sở gd&đt thái nguyên, giúp bạn hiểu sâu và tự tin hơn khi làm bài tập.
đề chọn học sinh giỏi tỉnh toán 9 năm 2025 – 2026 sở gd&đt thái nguyên là một trong những phần kiến thức quan trọng trong chương trình toán học, thường xuất hiện trong các bài kiểm tra và kỳ thi lớn. Việc nắm vững phần này không chỉ giúp bạn đạt điểm cao mà còn tạo nền tảng vững chắc để học các nội dung nâng cao hơn.
Chúng tôi cung cấp hướng dẫn từng bước giải bài tập, bao gồm:
Mỗi bài giải đều kèm theo lời giải thích chi tiết, giúp bạn hiểu không chỉ cách làm mà còn cả lý do tại sao nên áp dụng phương pháp đó.
Tất cả các bài tập đều đi kèm đáp án mới nhất, được kiểm tra kỹ lưỡng để đảm bảo độ chính xác cao. Điều này giúp bạn tự kiểm tra kết quả và khắc phục lỗi sai một cách nhanh chóng.
Ngoài ra, bài viết còn cung cấp các tài liệu bổ trợ như:
Chủ đề đề chọn học sinh giỏi tỉnh toán 9 năm 2025 – 2026 sở gd&đt thái nguyên là một phần kiến thức thú vị và hữu ích trong toán học. Hãy sử dụng bài viết này như một công cụ hỗ trợ để bạn chinh phục mọi thử thách trong môn Toán. Đừng quên ôn tập thường xuyên và luyện tập nhiều dạng bài tập khác nhau để thành thạo hơn!
Chúc các bạn học tốt và đạt kết quả cao! 😊
>> Xem thêm đáp án chi tiết về: đề chọn học sinh giỏi tỉnh toán 9 năm 2025 – 2026 sở gd&đt thái nguyên.