giaitoan.edu.vn giới thiệu đến quý thầy, cô giáo và các em học sinh đề thi chọn học sinh giỏi cấp xã môn Toán 6 năm học 2025 – 2026 xã Nga An, tỉnh Thanh Hóa. Kỳ thi được diễn ra vào tháng 04 năm 2026. Đề thi có đáp án, lời giải chi tiết và hướng dẫn chấm điểm.
Trích dẫn Đề chọn học sinh giỏi Toán 6 năm 2025 – 2026 xã Nga An – Thanh Hóa:
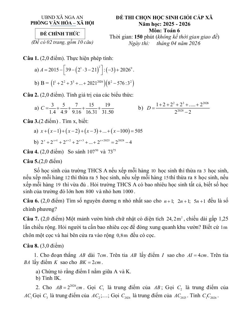
+ Số học sinh của trường THCS A nếu xếp mỗi hàng 10 học sinh thì thừa ra 3 học sinh, nếu xếp mỗi hàng 12 thì thừa ra 5 học sinh, nếu xếp mỗi hàng 15 thì thừa ra 8 học sinh, nếu xếp mỗi hàng 19 thì vừa đủ. Hỏi trường THCS A có bao nhiêu học sinh tất cả, biết số học sinh của trường đó lớn hơn 800 và nhỏ hơn 1000.
+ Một mảnh vườn hình chữ nhật có diện tích 24,2 m2, chiều dài gấp 1,25 lần chiều rộng. Hỏi người ta cần bao nhiêu cọc để đóng xung quanh khu vườn? Biết cứ 1 m chôn một cọc và hai bên cửa ra vào rộng 0,8 m đều có cọc.
+ Cho m đường thẳng (m ∈ N) trong đó bất kỳ hai đường thẳng nào cũng cắt nhau, không có ba đường thẳng nào cũng đi qua một điểm. Biết rằng số giao điểm của các đường thẳng đó là 190. Tính m.
File WORD (dành cho quý thầy, cô): TẢI XUỐNG







Giải Toán đề chọn học sinh giỏi toán 6 năm 2025 – 2026 xã nga an – thanh hóa với Đáp Án Mới Nhất
Toán học luôn là một môn học quan trọng, giúp học sinh phát triển tư duy logic và kỹ năng giải quyết vấn đề. Để hỗ trợ các bạn học sinh và giáo viên trong việc học tập và giảng dạy, bài viết này sẽ cung cấp lời giải chi tiết và đáp án chính xác cho chủ đề đề chọn học sinh giỏi toán 6 năm 2025 – 2026 xã nga an – thanh hóa, giúp bạn hiểu sâu và tự tin hơn khi làm bài tập.
đề chọn học sinh giỏi toán 6 năm 2025 – 2026 xã nga an – thanh hóa là một trong những phần kiến thức quan trọng trong chương trình toán học, thường xuất hiện trong các bài kiểm tra và kỳ thi lớn. Việc nắm vững phần này không chỉ giúp bạn đạt điểm cao mà còn tạo nền tảng vững chắc để học các nội dung nâng cao hơn.
Chúng tôi cung cấp hướng dẫn từng bước giải bài tập, bao gồm:
Mỗi bài giải đều kèm theo lời giải thích chi tiết, giúp bạn hiểu không chỉ cách làm mà còn cả lý do tại sao nên áp dụng phương pháp đó.
Tất cả các bài tập đều đi kèm đáp án mới nhất, được kiểm tra kỹ lưỡng để đảm bảo độ chính xác cao. Điều này giúp bạn tự kiểm tra kết quả và khắc phục lỗi sai một cách nhanh chóng.
Ngoài ra, bài viết còn cung cấp các tài liệu bổ trợ như:
Chủ đề đề chọn học sinh giỏi toán 6 năm 2025 – 2026 xã nga an – thanh hóa là một phần kiến thức thú vị và hữu ích trong toán học. Hãy sử dụng bài viết này như một công cụ hỗ trợ để bạn chinh phục mọi thử thách trong môn Toán. Đừng quên ôn tập thường xuyên và luyện tập nhiều dạng bài tập khác nhau để thành thạo hơn!
Chúc các bạn học tốt và đạt kết quả cao! 😊
>> Xem thêm đáp án chi tiết về: đề chọn học sinh giỏi toán 6 năm 2025 – 2026 xã nga an – thanh hóa.