giaitoan.edu.vn giới thiệu đến quý thầy, cô giáo và các em học sinh đề cương ôn tập kiểm tra giữa học kỳ 1 môn Toán 11 năm học 2025 – 2026 trường THPT Sơn Động số 3, tỉnh Bắc Ninh.
1. Lý thuyết.
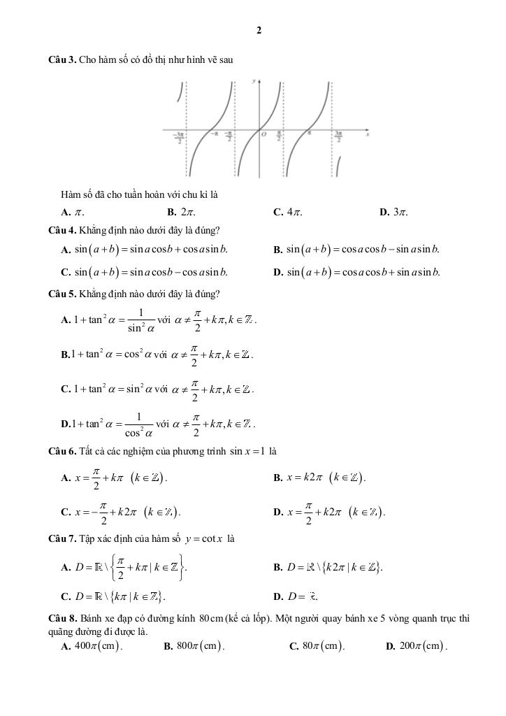
Phần 1: Hàm số lượng giác và phương trình lượng giác.
– Giá trị lượng giác của góc lượng giác: Góc lượng giác, hệ thức Chales, đơn vị đo góc và độ dài cung tròn, độ dài cung tròn, các giá trị lượng giác của góc lượng giác, quan hệ giữa các giá trị lượng giác.
– Công thức lượng giác: công thức cộng, công thức nhân đôi, công thức biến đổi tích thành tổng, công thức biến đổi tổng thành tích.
– Hàm số lượng giác: hàm số chẵn, hàm số lẻ, hàm số tuần hoàn, đồ thị và tính chất hàm số y = sinx, y = cosx, y = tan x, y = cot x.
– Phương trình lượng giác cơ bản: công thức nghiệm, cách giải phương trình sin x = m; cos x = m, tan x = m, cot x = m.
Phần 2: Quan hệ song song trong không gian.
– Đường thẳng và mặt phẳng trong không gian: Các tính chất thừa nhận, cách xác định 1 mặt phẳng.
– Hai đường thẳng song song: Vị trí tương đối của 2 đường thẳng, tính chất của 2 đường thẳng song song.
2. Một số dạng bài tập cơ bản.
– Đổi đơn vị đo góc từ độ sang radian và ngược lại.
– Tính độ dài cung tròn.
– Tính giá trị lượng giác khi biết một giá trị lượng giác cho trước.
– Rút gọn biểu thức lượng giác.
– Tìm tập xác định, tập giá trị, tính chẵn lẻ, chu kì tuần hoàn, đồ thị của hàm số lượng giác.
– Giải phương trình lượng giác.
– Tìm giao tuyến của hai mặt phẳng; giao điểm của đường thẳng và mặt phẳng; thiết diện của hình chóp.
– Chứng minh hai đường thẳng song song.
3. Đề minh họa.




Giải Toán đề cương giữa học kỳ 1 toán 11 năm 2025 – 2026 trường thpt sơn động 3 – bắc ninh với Đáp Án Mới Nhất
Toán học luôn là một môn học quan trọng, giúp học sinh phát triển tư duy logic và kỹ năng giải quyết vấn đề. Để hỗ trợ các bạn học sinh và giáo viên trong việc học tập và giảng dạy, bài viết này sẽ cung cấp lời giải chi tiết và đáp án chính xác cho chủ đề đề cương giữa học kỳ 1 toán 11 năm 2025 – 2026 trường thpt sơn động 3 – bắc ninh, giúp bạn hiểu sâu và tự tin hơn khi làm bài tập.
đề cương giữa học kỳ 1 toán 11 năm 2025 – 2026 trường thpt sơn động 3 – bắc ninh là một trong những phần kiến thức quan trọng trong chương trình toán học, thường xuất hiện trong các bài kiểm tra và kỳ thi lớn. Việc nắm vững phần này không chỉ giúp bạn đạt điểm cao mà còn tạo nền tảng vững chắc để học các nội dung nâng cao hơn.
Chúng tôi cung cấp hướng dẫn từng bước giải bài tập, bao gồm:
Mỗi bài giải đều kèm theo lời giải thích chi tiết, giúp bạn hiểu không chỉ cách làm mà còn cả lý do tại sao nên áp dụng phương pháp đó.
Tất cả các bài tập đều đi kèm đáp án mới nhất, được kiểm tra kỹ lưỡng để đảm bảo độ chính xác cao. Điều này giúp bạn tự kiểm tra kết quả và khắc phục lỗi sai một cách nhanh chóng.
Ngoài ra, bài viết còn cung cấp các tài liệu bổ trợ như:
Chủ đề đề cương giữa học kỳ 1 toán 11 năm 2025 – 2026 trường thpt sơn động 3 – bắc ninh là một phần kiến thức thú vị và hữu ích trong toán học. Hãy sử dụng bài viết này như một công cụ hỗ trợ để bạn chinh phục mọi thử thách trong môn Toán. Đừng quên ôn tập thường xuyên và luyện tập nhiều dạng bài tập khác nhau để thành thạo hơn!
Chúc các bạn học tốt và đạt kết quả cao! 😊
>> Xem thêm đáp án chi tiết về: đề cương giữa học kỳ 1 toán 11 năm 2025 – 2026 trường thpt sơn động 3 – bắc ninh.