giaitoan.edu.vn giới thiệu đến quý thầy, cô giáo và các em học sinh đề giao lưu học sinh giỏi môn Toán 7 năm học 2025 – 2026 xã Điền Lư, tỉnh Thanh Hóa. Đề thi có đáp án, lời giải chi tiết và hướng dẫn chấm điểm.
Trích dẫn Đề giao lưu HSG Toán 7 năm 2025 – 2026 xã Điền Lư – Thanh Hóa:
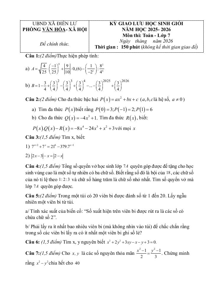
+ Tổng số quyển vở học sinh lớp 7A quyên góp được để tặng cho học sinh vùng cao là một số tự nhiên có ba chữ số. Biết rằng số đó là bội của 18, các chữ số của nó tỉ lệ theo 1 : 2 : 3 và chữ số hàng trăm là chữ số nhỏ nhất. Tìm số quyển vở mà lớp quyên góp được.
+ Trong một túi có 20 viên bi được đánh số từ 1 đến 20. Lấy ngẫu nhiên một viên bi từ túi. a/ Tính xác suất của biến cố: “Số xuất hiện trên viên bi được rút ra là các số có chứa chữ số 2”. b/ Phải lấy ra ít nhất bao nhiêu viên bi (mà không nhìn vào túi) để chắc chắn rằng trong số các viên bi lấy ra có ít nhất một viên bi ghi số lẻ?
+ Một bể nước dạng hình hộp chữ nhật chiều dài 2m. Lúc đầu bể không có nước. Sau khi đổ vào bể 120 thùng nước, mỗi thùng chứa 20 lít thì mực nước trong bể cao 0,8m. a) Tính chiều rộng của bể nước. b) Người ta đổ thêm vào bể 60 thùng nước nữa thì đầy bể. Hỏi bể nước cao bao nhiêu mét?
File WORD (dành cho quý thầy, cô): TẢI XUỐNG









Giải Toán đề giao lưu hsg toán 7 năm 2025 – 2026 xã điền lư – thanh hóa với Đáp Án Mới Nhất
Toán học luôn là một môn học quan trọng, giúp học sinh phát triển tư duy logic và kỹ năng giải quyết vấn đề. Để hỗ trợ các bạn học sinh và giáo viên trong việc học tập và giảng dạy, bài viết này sẽ cung cấp lời giải chi tiết và đáp án chính xác cho chủ đề đề giao lưu hsg toán 7 năm 2025 – 2026 xã điền lư – thanh hóa, giúp bạn hiểu sâu và tự tin hơn khi làm bài tập.
đề giao lưu hsg toán 7 năm 2025 – 2026 xã điền lư – thanh hóa là một trong những phần kiến thức quan trọng trong chương trình toán học, thường xuất hiện trong các bài kiểm tra và kỳ thi lớn. Việc nắm vững phần này không chỉ giúp bạn đạt điểm cao mà còn tạo nền tảng vững chắc để học các nội dung nâng cao hơn.
Chúng tôi cung cấp hướng dẫn từng bước giải bài tập, bao gồm:
Mỗi bài giải đều kèm theo lời giải thích chi tiết, giúp bạn hiểu không chỉ cách làm mà còn cả lý do tại sao nên áp dụng phương pháp đó.
Tất cả các bài tập đều đi kèm đáp án mới nhất, được kiểm tra kỹ lưỡng để đảm bảo độ chính xác cao. Điều này giúp bạn tự kiểm tra kết quả và khắc phục lỗi sai một cách nhanh chóng.
Ngoài ra, bài viết còn cung cấp các tài liệu bổ trợ như:
Chủ đề đề giao lưu hsg toán 7 năm 2025 – 2026 xã điền lư – thanh hóa là một phần kiến thức thú vị và hữu ích trong toán học. Hãy sử dụng bài viết này như một công cụ hỗ trợ để bạn chinh phục mọi thử thách trong môn Toán. Đừng quên ôn tập thường xuyên và luyện tập nhiều dạng bài tập khác nhau để thành thạo hơn!
Chúc các bạn học tốt và đạt kết quả cao! 😊
>> Xem thêm đáp án chi tiết về: đề giao lưu hsg toán 7 năm 2025 – 2026 xã điền lư – thanh hóa.