giaitoan.edu.vn giới thiệu đến quý thầy, cô giáo và các em học sinh đề khảo sát chất lượng học sinh khá giỏi môn Toán 7 đợt 1 năm học 2025 – 2026 cụm THCS Lâm-Văn-Kiều, tỉnh Nghệ An. Đề thi có đáp án, lời giải chi tiết và hướng dẫn chấm điểm.
Trích dẫn Đề KSCL học sinh giỏi Toán 7 đợt 1 năm 2025 – 2026 cụm THCS Lâm-Văn-Kiều – Nghệ An:
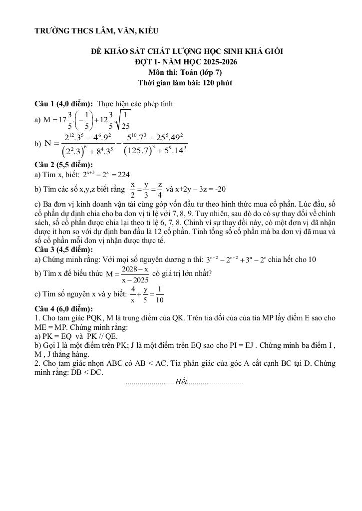
+ Ba đơn vị kinh doanh vận tải cùng góp vốn đầu tư theo hình thức mua cổ phần. Lúc đầu, số cổ phần dự định chia cho ba đơn vị tỉ lệ với 7, 8, 9. Tuy nhiên, sau đó do có sự thay đổi về chính sách, số cổ phần được chia lại theo tỉ lệ 6, 7, 8. Chính vì sự thay đổi này, có một đơn vị đã nhận được ít hơn so với dự định ban đầu là 12 cổ phần. Tính tổng số cổ phần mà ba đơn vị đã mua và số cổ phần mỗi đơn vị nhận được thực tế.
+ Cho tam giác PQK, M là trung điểm của QK. Trên tia đối của của tia MP lấy điểm E sao cho ME = MP. Chứng minh rằng: a) PK = EQ và PK // QE. b) Gọi I là một điểm trên PK; J là một điểm trên EQ sao cho PI = EJ. Chứng minh ba điểm I, M, J thẳng hàng.
+ Cho tam giác nhọn ABC có AB < AC. Tia phân giác của góc A cắt cạnh BC tại D. Chứng minh rằng: DB < DC.
File WORD (dành cho quý thầy, cô): TẢI XUỐNG






Giải Toán đề kscl học sinh giỏi toán 7 đợt 1 năm 2025 – 2026 cụm thcs lâm-văn-kiều – nghệ an với Đáp Án Mới Nhất
Toán học luôn là một môn học quan trọng, giúp học sinh phát triển tư duy logic và kỹ năng giải quyết vấn đề. Để hỗ trợ các bạn học sinh và giáo viên trong việc học tập và giảng dạy, bài viết này sẽ cung cấp lời giải chi tiết và đáp án chính xác cho chủ đề đề kscl học sinh giỏi toán 7 đợt 1 năm 2025 – 2026 cụm thcs lâm-văn-kiều – nghệ an, giúp bạn hiểu sâu và tự tin hơn khi làm bài tập.
đề kscl học sinh giỏi toán 7 đợt 1 năm 2025 – 2026 cụm thcs lâm-văn-kiều – nghệ an là một trong những phần kiến thức quan trọng trong chương trình toán học, thường xuất hiện trong các bài kiểm tra và kỳ thi lớn. Việc nắm vững phần này không chỉ giúp bạn đạt điểm cao mà còn tạo nền tảng vững chắc để học các nội dung nâng cao hơn.
Chúng tôi cung cấp hướng dẫn từng bước giải bài tập, bao gồm:
Mỗi bài giải đều kèm theo lời giải thích chi tiết, giúp bạn hiểu không chỉ cách làm mà còn cả lý do tại sao nên áp dụng phương pháp đó.
Tất cả các bài tập đều đi kèm đáp án mới nhất, được kiểm tra kỹ lưỡng để đảm bảo độ chính xác cao. Điều này giúp bạn tự kiểm tra kết quả và khắc phục lỗi sai một cách nhanh chóng.
Ngoài ra, bài viết còn cung cấp các tài liệu bổ trợ như:
Chủ đề đề kscl học sinh giỏi toán 7 đợt 1 năm 2025 – 2026 cụm thcs lâm-văn-kiều – nghệ an là một phần kiến thức thú vị và hữu ích trong toán học. Hãy sử dụng bài viết này như một công cụ hỗ trợ để bạn chinh phục mọi thử thách trong môn Toán. Đừng quên ôn tập thường xuyên và luyện tập nhiều dạng bài tập khác nhau để thành thạo hơn!
Chúc các bạn học tốt và đạt kết quả cao! 😊
>> Xem thêm đáp án chi tiết về: đề kscl học sinh giỏi toán 7 đợt 1 năm 2025 – 2026 cụm thcs lâm-văn-kiều – nghệ an.