giaitoan.edu.vn giới thiệu đến quý thầy, cô giáo và các em học sinh đề kiểm tra giữa học kì 2 môn Toán 12 năm học 2024 – 2025 trường THPT Phù Cát số 3, tỉnh Bình Định. Đề thi có đáp án và hướng dẫn chấm điểm.
Trích dẫn Đề giữa học kì 2 Toán 12 năm 2024 – 2025 trường THPT Phù Cát 3 – Bình Định:
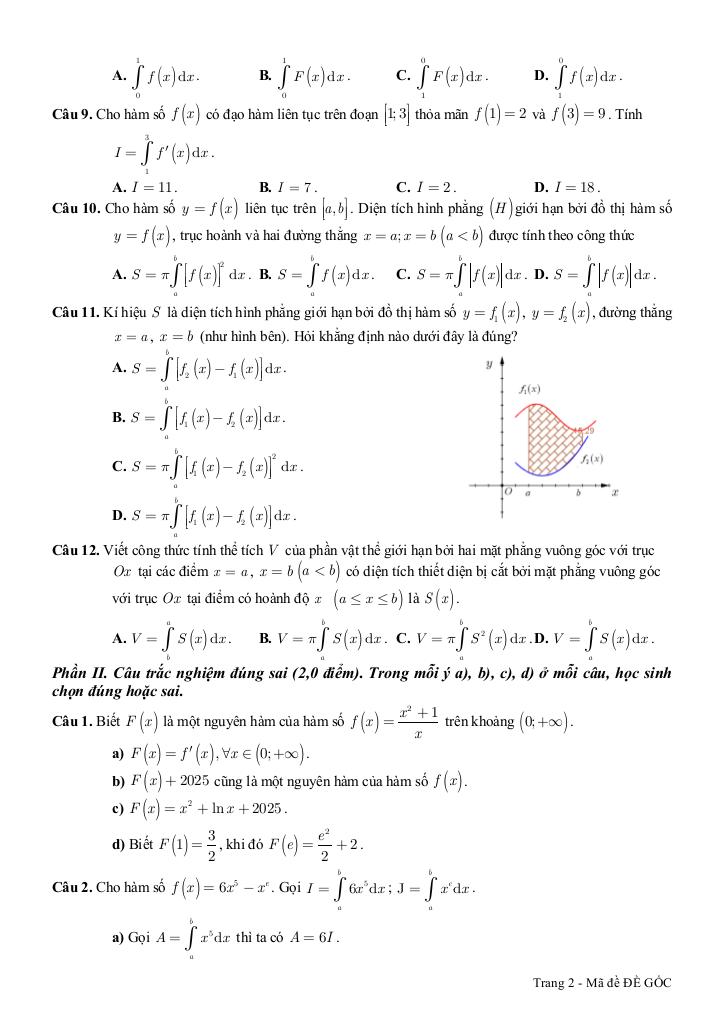
+ Ông A dự định xây “tường cong” trong sân trượt patin là một khối bê tông có chiều cao từ mặt đất lên là 3,5 m. Giao của mặt tường cong và mặt đất là đoạn thẳng AB = 4 m. Thiết diện của khối tường cong cắt bởi mặt phẳng vuông góc với AB tại A là một hình tam giác vuông cong ACE với AC = 4 m, CE = 3,5 m và cạnh cong AE nằm trên một đường parabol có trục đối xứng vuông góc với mặt đất. Tại vị trí M là trung điểm của AC thì tường cong có độ cao 1m (xem hình minh họa bên). Tính thể tích bê tông cần sử dụng để tạo nên khối tường cong đó.
+ Một khuôn viên dạng nửa hình tròn, trên đó người thiết kế phần để trồng hoa Cẩm Tú Cầu (phần được gạch chéo trên hình vẽ). Biết rằng phần gạch chéo là hình phẳng giới hạn bởi parabol y = x2 và nửa trên của đường tròn y = √(20 – x2). Tính số tiền (nghìn đồng) tối thiểu để trồng xong vườn hoa Cẩm Tú Cầu biết rằng để trồng mỗi 2 m hoa cần ít nhất là 250 nghìn đồng. (Số tiền được làm tròn đến hàng đơn vị).
File WORD (dành cho quý thầy, cô): TẢI XUỐNG









Giải Toán đề giữa học kì 2 toán 12 năm 2024 – 2025 trường thpt phù cát 3 – bình định với Đáp Án Mới Nhất
Toán học luôn là một môn học quan trọng, giúp học sinh phát triển tư duy logic và kỹ năng giải quyết vấn đề. Để hỗ trợ các bạn học sinh và giáo viên trong việc học tập và giảng dạy, bài viết này sẽ cung cấp lời giải chi tiết và đáp án chính xác cho chủ đề đề giữa học kì 2 toán 12 năm 2024 – 2025 trường thpt phù cát 3 – bình định, giúp bạn hiểu sâu và tự tin hơn khi làm bài tập.
đề giữa học kì 2 toán 12 năm 2024 – 2025 trường thpt phù cát 3 – bình định là một trong những phần kiến thức quan trọng trong chương trình toán học, thường xuất hiện trong các bài kiểm tra và kỳ thi lớn. Việc nắm vững phần này không chỉ giúp bạn đạt điểm cao mà còn tạo nền tảng vững chắc để học các nội dung nâng cao hơn.
Chúng tôi cung cấp hướng dẫn từng bước giải bài tập, bao gồm:
Mỗi bài giải đều kèm theo lời giải thích chi tiết, giúp bạn hiểu không chỉ cách làm mà còn cả lý do tại sao nên áp dụng phương pháp đó.
Tất cả các bài tập đều đi kèm đáp án mới nhất, được kiểm tra kỹ lưỡng để đảm bảo độ chính xác cao. Điều này giúp bạn tự kiểm tra kết quả và khắc phục lỗi sai một cách nhanh chóng.
Ngoài ra, bài viết còn cung cấp các tài liệu bổ trợ như:
Chủ đề đề giữa học kì 2 toán 12 năm 2024 – 2025 trường thpt phù cát 3 – bình định là một phần kiến thức thú vị và hữu ích trong toán học. Hãy sử dụng bài viết này như một công cụ hỗ trợ để bạn chinh phục mọi thử thách trong môn Toán. Đừng quên ôn tập thường xuyên và luyện tập nhiều dạng bài tập khác nhau để thành thạo hơn!
Chúc các bạn học tốt và đạt kết quả cao! 😊
>> Xem thêm đáp án chi tiết về: đề giữa học kì 2 toán 12 năm 2024 – 2025 trường thpt phù cát 3 – bình định.