giaitoan.edu.vn giới thiệu đến quý thầy, cô giáo và các em học sinh đề kiểm tra giữa học kỳ 2 môn Toán 12 năm học 2024 – 2025 trường THPT Nguyễn Huệ, thành phố Huế. Đề thi có đáp án và hướng dẫn chấm điểm.
Trích dẫn Đề giữa kỳ 2 Toán 12 năm 2024 – 2025 trường THPT Nguyễn Huệ – Huế:
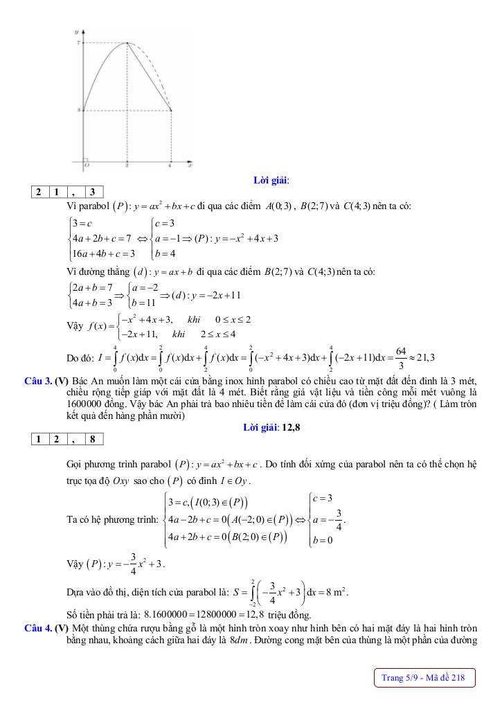
+ Bác Bình muốn làm một cái cửa bằng inox hình parabol có chiều cao từ mặt đất đến đỉnh là 3 mét, chiều rộng tiếp giáp với mặt đất là 3 mét. Biết rằng giá vật liệu và tiền công mỗi mét vuông là 1700000 đồng. Vậy bác Bình phải trả bao nhiêu tiền để làm cái cửa đó (đơn vị triệu đồng)? (Làm tròn kết quả đến hàng phần mười).
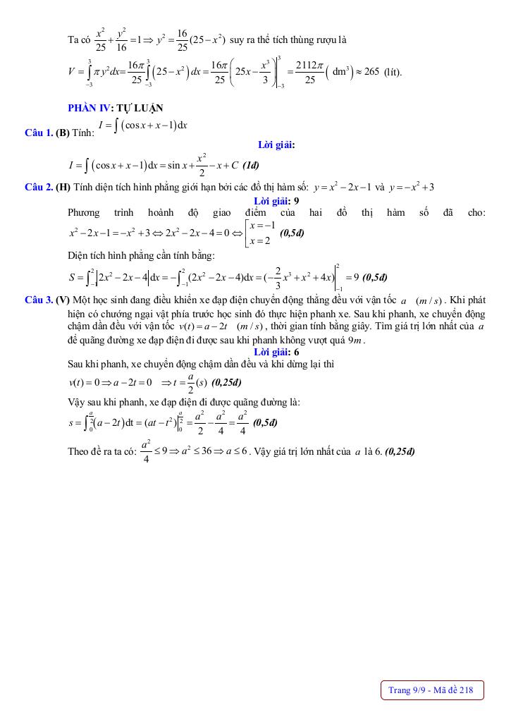
+ Một thùng chứa rượu bằng gỗ là một hình tròn xoay như hình bên có hai mặt đáy là hai hình tròn bằng nhau, khoảng cách giữa hai đáy là 6dm. Đường cong mặt bên trong của thùng là một phần của đường elip có độ dài trục lớn bằng 10dm, trục bé bằng 8dm. Hỏi thùng gỗ này đựng được tối đa bao nhiêu lít rượu? (Làm tròn kết quả đến hàng đơn vị).
+ Một học sinh đang điều khiển xe đạp điện chuyển động thẳng đều với vận tốc a (m/s). Khi phát hiện có chướng ngại vật phía trước học sinh đó thực hiện phanh xe. Sau khi phanh, xe chuyển động chậm dần đều với vận tốc v(t) = a – 2t (m/s), trong đó t (tính bằng giây) là thời gian kể từ lúc bắt đầu đạp phanh. Tìm giá trị lớn nhất của a để quãng đường xe đạp điện đi được sau khi phanh không vượt quá 9m.
File WORD (dành cho quý thầy, cô): TẢI XUỐNG










Giải Toán đề giữa kỳ 2 toán 12 năm 2024 – 2025 trường thpt nguyễn huệ – huế với Đáp Án Mới Nhất
Toán học luôn là một môn học quan trọng, giúp học sinh phát triển tư duy logic và kỹ năng giải quyết vấn đề. Để hỗ trợ các bạn học sinh và giáo viên trong việc học tập và giảng dạy, bài viết này sẽ cung cấp lời giải chi tiết và đáp án chính xác cho chủ đề đề giữa kỳ 2 toán 12 năm 2024 – 2025 trường thpt nguyễn huệ – huế, giúp bạn hiểu sâu và tự tin hơn khi làm bài tập.
đề giữa kỳ 2 toán 12 năm 2024 – 2025 trường thpt nguyễn huệ – huế là một trong những phần kiến thức quan trọng trong chương trình toán học, thường xuất hiện trong các bài kiểm tra và kỳ thi lớn. Việc nắm vững phần này không chỉ giúp bạn đạt điểm cao mà còn tạo nền tảng vững chắc để học các nội dung nâng cao hơn.
Chúng tôi cung cấp hướng dẫn từng bước giải bài tập, bao gồm:
Mỗi bài giải đều kèm theo lời giải thích chi tiết, giúp bạn hiểu không chỉ cách làm mà còn cả lý do tại sao nên áp dụng phương pháp đó.
Tất cả các bài tập đều đi kèm đáp án mới nhất, được kiểm tra kỹ lưỡng để đảm bảo độ chính xác cao. Điều này giúp bạn tự kiểm tra kết quả và khắc phục lỗi sai một cách nhanh chóng.
Ngoài ra, bài viết còn cung cấp các tài liệu bổ trợ như:
Chủ đề đề giữa kỳ 2 toán 12 năm 2024 – 2025 trường thpt nguyễn huệ – huế là một phần kiến thức thú vị và hữu ích trong toán học. Hãy sử dụng bài viết này như một công cụ hỗ trợ để bạn chinh phục mọi thử thách trong môn Toán. Đừng quên ôn tập thường xuyên và luyện tập nhiều dạng bài tập khác nhau để thành thạo hơn!
Chúc các bạn học tốt và đạt kết quả cao! 😊
>> Xem thêm đáp án chi tiết về: đề giữa kỳ 2 toán 12 năm 2024 – 2025 trường thpt nguyễn huệ – huế.