giaitoan.edu.vn giới thiệu đến quý thầy, cô giáo và các em học sinh đề kiểm tra giữa học kỳ 1 môn Toán 11 năm học 2025 – 2026 trường THPT Điền Hải, tỉnh Cà Mau. Đề thi có đáp án mã đề 101 102 103 104.
Trích dẫn Đề giữa học kỳ 1 Toán 11 năm 2025 – 2026 trường THPT Điền Hải – Cà Mau:
+ Một chiếc bánh xe nước có dạng hình tròn bán kính 3,5m, trục của nó đặt cách mặt nước 3m (hình bên dưới). Khi bánh xe nước quay đều, khoảng cách h (mét) tính từ một chiếc gầu gắn tại điểm A trên bánh xe nước đến mặt nước là h = |y| trong đó y = 3 + 3,5sin(2πx – π/2) với x là thời gian quay của bánh xe nước (x ≥ 0), tính bằng phút; ta quy ước rằng y /> 0 khi gầu ở trên mặt nước và y < 0 khi gầu ở dưới mặt nước. Hỏi chiếc gầu cách mặt nước 3m lần đầu tiên khi nào? (kết quả làm tròn đến chữ số thập phân thứ nhất sau dấu phẩy).
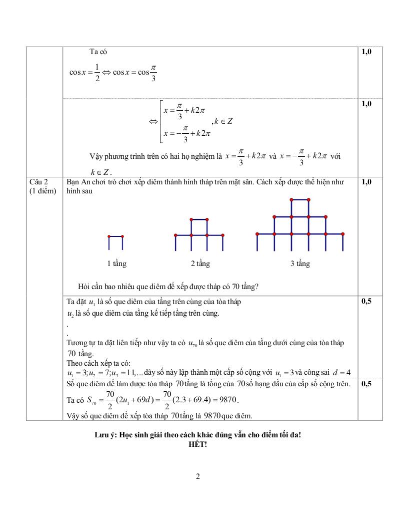
+ Bạn An chơi trò chơi xếp diêm thành hình tháp trên mặt sân. Cách xếp được thể hiện như hình sau: 1 tầng – 2 tầng – 3 tầng. Hỏi cần bao nhiêu que diêm để xếp được tháp có 70 tầng?




Giải Toán đề giữa học kỳ 1 toán 11 năm 2025 – 2026 trường thpt điền hải – cà mau với Đáp Án Mới Nhất
Toán học luôn là một môn học quan trọng, giúp học sinh phát triển tư duy logic và kỹ năng giải quyết vấn đề. Để hỗ trợ các bạn học sinh và giáo viên trong việc học tập và giảng dạy, bài viết này sẽ cung cấp lời giải chi tiết và đáp án chính xác cho chủ đề đề giữa học kỳ 1 toán 11 năm 2025 – 2026 trường thpt điền hải – cà mau, giúp bạn hiểu sâu và tự tin hơn khi làm bài tập.
đề giữa học kỳ 1 toán 11 năm 2025 – 2026 trường thpt điền hải – cà mau là một trong những phần kiến thức quan trọng trong chương trình toán học, thường xuất hiện trong các bài kiểm tra và kỳ thi lớn. Việc nắm vững phần này không chỉ giúp bạn đạt điểm cao mà còn tạo nền tảng vững chắc để học các nội dung nâng cao hơn.
Chúng tôi cung cấp hướng dẫn từng bước giải bài tập, bao gồm:
Mỗi bài giải đều kèm theo lời giải thích chi tiết, giúp bạn hiểu không chỉ cách làm mà còn cả lý do tại sao nên áp dụng phương pháp đó.
Tất cả các bài tập đều đi kèm đáp án mới nhất, được kiểm tra kỹ lưỡng để đảm bảo độ chính xác cao. Điều này giúp bạn tự kiểm tra kết quả và khắc phục lỗi sai một cách nhanh chóng.
Ngoài ra, bài viết còn cung cấp các tài liệu bổ trợ như:
Chủ đề đề giữa học kỳ 1 toán 11 năm 2025 – 2026 trường thpt điền hải – cà mau là một phần kiến thức thú vị và hữu ích trong toán học. Hãy sử dụng bài viết này như một công cụ hỗ trợ để bạn chinh phục mọi thử thách trong môn Toán. Đừng quên ôn tập thường xuyên và luyện tập nhiều dạng bài tập khác nhau để thành thạo hơn!
Chúc các bạn học tốt và đạt kết quả cao! 😊
>> Xem thêm đáp án chi tiết về: đề giữa học kỳ 1 toán 11 năm 2025 – 2026 trường thpt điền hải – cà mau.