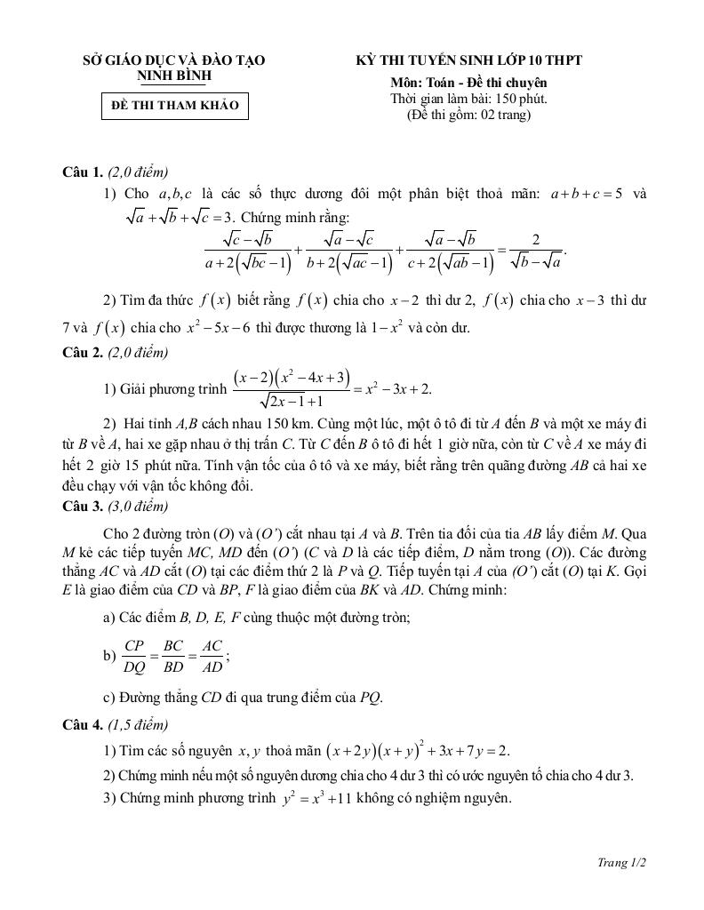
giaitoan.edu.vn giới thiệu đến quý thầy, cô giáo và các em học sinh đề tham khảo kỳ thi tuyển sinh vào lớp 10 THPT môn Toán (chuyên) năm học 2026 – 2027 sở Giáo dục và Đào tạo tỉnh Ninh Bình.
CẤU TRÚC ĐỀ THI TUYỂN SINH LỚP 10 THPT MÔN TOÁN – ĐỀ THI CHUYÊN (Ban hành kèm theo Công văn số 1229/SGDĐT-QLCL ngày 20/10/2025 của Sở GDĐT Ninh Bình):
I. Quy định chung
1. Thời gian làm bài: 150 phút.
2. Hình thức thi: Tự luận.
3. Điểm toàn bài: 10,0 điểm.
4. Phạm vi kiến thức: Nội dung kiến thức của đề thi nằm trong chương trình môn Toán cấp THCS ban hành kèm theo Thông tư số 32/2018/TT-BGDĐT ngày 26/12/2018 của Bộ trưởng Bộ Giáo dục và Đào tạo, chủ yếu là lớp 9.
5. Lưu ý:
– Câu hỏi ứng dụng giải quyết vấn đề thực tiễn chiếm khoảng 1,0 điểm.
– Thí sinh được sử dụng kiến thức sau đây mà không phải chứng minh: Quan hệ giữa cạnh và đường cao trong tam giác vuông; bất đẳng AM-GM, Cauchy-Schwarz.
6. Cấp độ nhận thức: Thông hiểu khoảng 40%; Vận dụng khoảng 40%; Vận dụng cao khoảng 20%.
II. Cấu trúc đề thi
1 Biểu thức đại số và các vấn đề liên quan:
– Rút gọn biểu thức và các hệ thức liên quan.
– Đa thức và các vấn đề liên quan.
2 Phương trình, hệ phương trình:
– Phương trình, hệ phương trình đại số.
– Các bài toán liên quan thực tế.
3 Hình học phẳng:
– Chứng minh đồng quy, thẳng hàng, vuông góc, song song.
– Bài toán liên quan đến tam giác, tứ giác, đường tròn.
– Bài toán về đẳng thức, bất đẳng thức, giá trị biểu thức hình học.
4 Số học:
– Các vấn đề về số nguyên, nghiệm nguyên của phương trình.
– Tính chất chia hết trên tập số nguyên.
– Đồng dư, định lý Fermat nhỏ.
5 Tổ hợp: bài toán suy luận logic.
6 Bất đẳng thức, giá trị lớn nhất, nhỏ nhất. Bài toán tìm GTLN, GTNN có liên quan thực tế.
File WORD (dành cho quý thầy, cô): TẢI XUỐNG



Giải Toán đề tham khảo tuyển sinh lớp 10 môn toán (chuyên) năm 2026 – 2027 sở gd&đt ninh bình với Đáp Án Mới Nhất
Toán học luôn là một môn học quan trọng, giúp học sinh phát triển tư duy logic và kỹ năng giải quyết vấn đề. Để hỗ trợ các bạn học sinh và giáo viên trong việc học tập và giảng dạy, bài viết này sẽ cung cấp lời giải chi tiết và đáp án chính xác cho chủ đề đề tham khảo tuyển sinh lớp 10 môn toán (chuyên) năm 2026 – 2027 sở gd&đt ninh bình, giúp bạn hiểu sâu và tự tin hơn khi làm bài tập.
đề tham khảo tuyển sinh lớp 10 môn toán (chuyên) năm 2026 – 2027 sở gd&đt ninh bình là một trong những phần kiến thức quan trọng trong chương trình toán học, thường xuất hiện trong các bài kiểm tra và kỳ thi lớn. Việc nắm vững phần này không chỉ giúp bạn đạt điểm cao mà còn tạo nền tảng vững chắc để học các nội dung nâng cao hơn.
Chúng tôi cung cấp hướng dẫn từng bước giải bài tập, bao gồm:
Mỗi bài giải đều kèm theo lời giải thích chi tiết, giúp bạn hiểu không chỉ cách làm mà còn cả lý do tại sao nên áp dụng phương pháp đó.
Tất cả các bài tập đều đi kèm đáp án mới nhất, được kiểm tra kỹ lưỡng để đảm bảo độ chính xác cao. Điều này giúp bạn tự kiểm tra kết quả và khắc phục lỗi sai một cách nhanh chóng.
Ngoài ra, bài viết còn cung cấp các tài liệu bổ trợ như:
Chủ đề đề tham khảo tuyển sinh lớp 10 môn toán (chuyên) năm 2026 – 2027 sở gd&đt ninh bình là một phần kiến thức thú vị và hữu ích trong toán học. Hãy sử dụng bài viết này như một công cụ hỗ trợ để bạn chinh phục mọi thử thách trong môn Toán. Đừng quên ôn tập thường xuyên và luyện tập nhiều dạng bài tập khác nhau để thành thạo hơn!
Chúc các bạn học tốt và đạt kết quả cao! 😊
>> Xem thêm đáp án chi tiết về: đề tham khảo tuyển sinh lớp 10 môn toán (chuyên) năm 2026 – 2027 sở gd&đt ninh bình.