Tài liệu gồm 65 trang, được biên soạn bởi nhóm Toán 8 trường THCS Nguyễn Trãi, bao gồm tóm tắt kiến thức, câu hỏi trắc nghiệm, bài tập tự luận và toán liên hệ thực tế môn Toán 8 học kì 1.
CHƯƠNG 1. BIỂU THỨC ĐẠI SỐ.
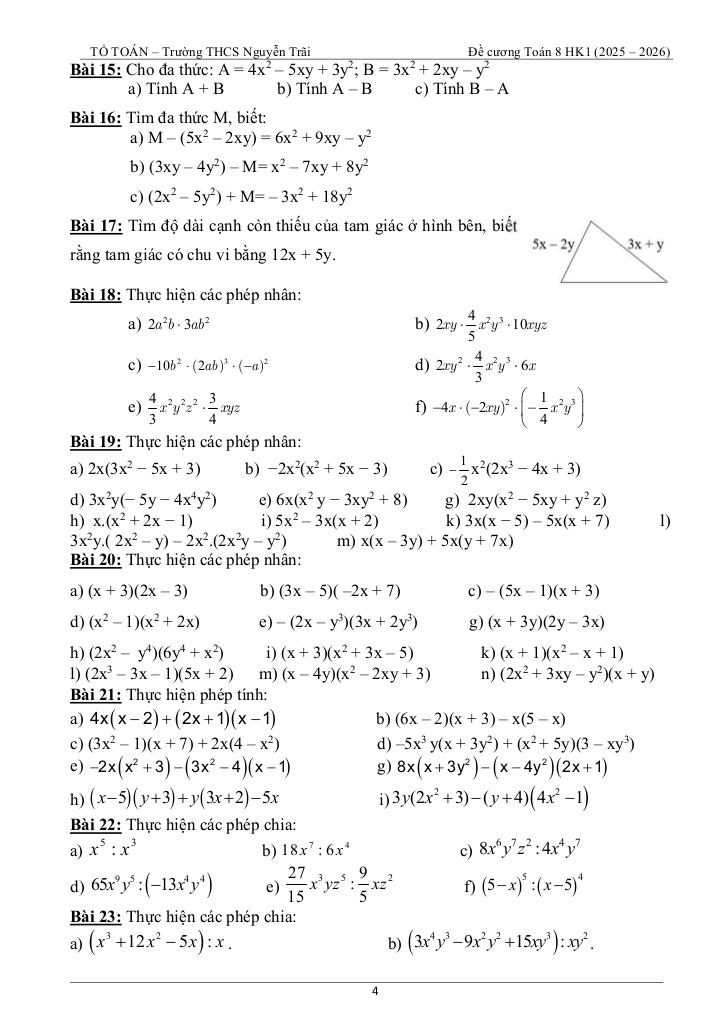
+ Chủ đề 1. Đơn thức – đa thức. Các phép toán với đa thức nhiều biến.
+ Chủ đề 2. Hằng đẳng thức.
+ Chủ đề 3. Phân tích đa thức thành nhân tử.
+ Chủ đề 4. Phân thức đại số. Cộng, trừ, nhân, chia phân thức.
+ Chủ đề 5. Toán thực tế tính tiền.
CHƯƠNG 2. CÁC HÌNH KHỐI TRONG THỰC TIỄN. HÌNH CHÓP TAM GIÁC ĐỀU – HÌNH CHÓP TỨ GIÁC ĐỀU.
CHƯƠNG 3. ĐỊNH LÝ PYTHAGORE. CÁC LOẠI TỨ GIÁC THƯỜNG GẶP.
+ Chủ đề 1. Định lý Pythagore. Bài toán thực tế về định lí Pythagore.
+ Chủ đề 2. Các loại tứ giác thường gặp.
CHƯƠNG 4. MỘT SỐ YẾU TỐ THỐNG KÊ.
+ Chủ đề 1. Thu thập và phân loại dữ liệu.
+ Chủ đề 2. Lựa chọn dạng biểu đồ để biểu diễn dữ liệu.
+ Chủ đề 3. Phân tích dữ liệu.
File WORD (dành cho quý thầy, cô): TẢI XUỐNG










Giải Toán tài liệu học tập môn toán 8 học kì 1 năm học 2025 – 2026 với Đáp Án Mới Nhất
Toán học luôn là một môn học quan trọng, giúp học sinh phát triển tư duy logic và kỹ năng giải quyết vấn đề. Để hỗ trợ các bạn học sinh và giáo viên trong việc học tập và giảng dạy, bài viết này sẽ cung cấp lời giải chi tiết và đáp án chính xác cho chủ đề tài liệu học tập môn toán 8 học kì 1 năm học 2025 – 2026, giúp bạn hiểu sâu và tự tin hơn khi làm bài tập.
tài liệu học tập môn toán 8 học kì 1 năm học 2025 – 2026 là một trong những phần kiến thức quan trọng trong chương trình toán học, thường xuất hiện trong các bài kiểm tra và kỳ thi lớn. Việc nắm vững phần này không chỉ giúp bạn đạt điểm cao mà còn tạo nền tảng vững chắc để học các nội dung nâng cao hơn.
Chúng tôi cung cấp hướng dẫn từng bước giải bài tập, bao gồm:
Mỗi bài giải đều kèm theo lời giải thích chi tiết, giúp bạn hiểu không chỉ cách làm mà còn cả lý do tại sao nên áp dụng phương pháp đó.
Tất cả các bài tập đều đi kèm đáp án mới nhất, được kiểm tra kỹ lưỡng để đảm bảo độ chính xác cao. Điều này giúp bạn tự kiểm tra kết quả và khắc phục lỗi sai một cách nhanh chóng.
Ngoài ra, bài viết còn cung cấp các tài liệu bổ trợ như:
Chủ đề tài liệu học tập môn toán 8 học kì 1 năm học 2025 – 2026 là một phần kiến thức thú vị và hữu ích trong toán học. Hãy sử dụng bài viết này như một công cụ hỗ trợ để bạn chinh phục mọi thử thách trong môn Toán. Đừng quên ôn tập thường xuyên và luyện tập nhiều dạng bài tập khác nhau để thành thạo hơn!
Chúc các bạn học tốt và đạt kết quả cao! 😊
>> Xem thêm đáp án chi tiết về: tài liệu học tập môn toán 8 học kì 1 năm học 2025 – 2026.