Tài liệu gồm 25 trang, được biên soạn bởi thầy giáo Chu Hoàng Minh, tuyển tập bộ 05 đề thi thử giữa học kì 1 môn Toán 12 năm học 2025 – 2026. Đề thi gồm 12 câu trắc nghiệm nhiều phương án lựa chọn + 04 câu trắc nghiệm đúng sai + 06 câu trắc nghiệm trả lời ngắn, thời gian làm bài 90 phút, có đáp án tham khảo.
Trích dẫn Bộ đề thi thử giữa học kì 1 Toán 12 năm học 2025 – 2026 – Chu Hoàng Minh:
+ Người thợ nón ở làng Chuông muốn làm một chiếc nón lá Huế mộng mơ từ một tấm lá hình tròn có bán kính 50 cm. Người thợ cắt bỏ một hình quạt có góc ở tâm là a (như hình vẽ), sau đó ghép hai cạnh của phần còn lại lại với nhau để tạo thành một chiếc nón. Hỏi người thợ phải chọn góc a bao nhiêu (tính bằng radian) để thể tích của chiếc nón lá tạo ra là lớn nhất? (làm tròn kết quả đến hàng phần trăm).
+ Bộ phim Avatar (2009) hiện vẫn là phim ăn khách nhất mọi thời đại với doanh thu 2,9 tỷ đô. Trong một lần đạo diễn James Cameron đến phim trường, ông đứng ở vị trí I để quan sát bức tường xa xa (bức tường này được trải 1 tấm màn để tạo hiệu ứng cho bầu trời), đoạn AB được xem là khoảng quan sát của ông đối với đường chân tường. Biết rằng tại phim trường thì người ta tạo hai đường kẻ a, b vuông góc nhau tại O để tiện cho việc đo đạc. Hai bên phim trường là những ngọn núi nhân tạo được bao quanh bởi hai đường hypebol nhận a, b làm các đường tiệm cận. Vị trí I mà đạo diễn đứng cách mỗi đường a, b khoảng 40/3 m; vị trí C cách mỗi đường a, b khoảng 10 m. Đường chân tường giao nhau với a, b tại các điểm cách O một khoảng 50 m. Tìm khoảng quan sát lớn nhất của đạo diễn đối với đường chân tường theo đơn vị mét và làm tròn đến hàng phần chục.
+ Một nhà sản xuất trung bình bán được 1000 ti vi màn hình phẳng mỗi tuần với giá 14 triệu đồng một chiếc. Một cuộc khảo sát thị trường chỉ ra rằng nếu cứ giảm giá bán 500 nghìn đồng, số lượng ti vi bán ra sẽ tăng thêm khoảng 100 ti vi mỗi tuần. Công ty nên giảm giá bao nhiêu cho người mua để doanh thu là lớn nhất (đơn vị là triệu đồng)?










Giải Toán bộ đề thi thử giữa học kì 1 toán 12 năm học 2025 – 2026 – chu hoàng minh với Đáp Án Mới Nhất
Toán học luôn là một môn học quan trọng, giúp học sinh phát triển tư duy logic và kỹ năng giải quyết vấn đề. Để hỗ trợ các bạn học sinh và giáo viên trong việc học tập và giảng dạy, bài viết này sẽ cung cấp lời giải chi tiết và đáp án chính xác cho chủ đề bộ đề thi thử giữa học kì 1 toán 12 năm học 2025 – 2026 – chu hoàng minh, giúp bạn hiểu sâu và tự tin hơn khi làm bài tập.
bộ đề thi thử giữa học kì 1 toán 12 năm học 2025 – 2026 – chu hoàng minh là một trong những phần kiến thức quan trọng trong chương trình toán học, thường xuất hiện trong các bài kiểm tra và kỳ thi lớn. Việc nắm vững phần này không chỉ giúp bạn đạt điểm cao mà còn tạo nền tảng vững chắc để học các nội dung nâng cao hơn.
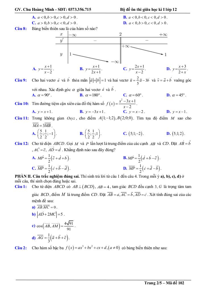
Chúng tôi cung cấp hướng dẫn từng bước giải bài tập, bao gồm:
Mỗi bài giải đều kèm theo lời giải thích chi tiết, giúp bạn hiểu không chỉ cách làm mà còn cả lý do tại sao nên áp dụng phương pháp đó.
Tất cả các bài tập đều đi kèm đáp án mới nhất, được kiểm tra kỹ lưỡng để đảm bảo độ chính xác cao. Điều này giúp bạn tự kiểm tra kết quả và khắc phục lỗi sai một cách nhanh chóng.
Ngoài ra, bài viết còn cung cấp các tài liệu bổ trợ như:
Chủ đề bộ đề thi thử giữa học kì 1 toán 12 năm học 2025 – 2026 – chu hoàng minh là một phần kiến thức thú vị và hữu ích trong toán học. Hãy sử dụng bài viết này như một công cụ hỗ trợ để bạn chinh phục mọi thử thách trong môn Toán. Đừng quên ôn tập thường xuyên và luyện tập nhiều dạng bài tập khác nhau để thành thạo hơn!
Chúc các bạn học tốt và đạt kết quả cao! 😊
>> Xem thêm đáp án chi tiết về: bộ đề thi thử giữa học kì 1 toán 12 năm học 2025 – 2026 – chu hoàng minh.