giaitoan.edu.vn giới thiệu đến quý thầy, cô giáo và các em học sinh đề thi chọn học sinh giỏi cấp thành phố môn Toán THCS năm học 2025 – 2026 sở Giáo dục và Đào tạo thành phố Huế. Kỳ thi được diễn ra vào thứ Bảy ngày 21 tháng 03 năm 2026.
Trích dẫn Đề chọn học sinh giỏi Toán THCS năm 2025 – 2026 sở GD&ĐT Huế:
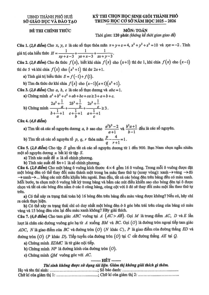
+ Cho tập S gồm tất cả các số nguyên dương từ 1 đến 900. Bạn Nam chọn ngẫu nhiên một số nguyên dương n bất kì từ tập S. a) Tính xác suất để n là số chính phương. b) Tính xác suất để 8n + 1 là số chính phương.
+ Cho một bảng ô vuông kích thước 4 × 4 gồm 16 ô vuông. Trong mỗi ô vuông được đặt một bóng đèn có thể thay đổi màu thành một trong ba màu theo thứ tự (xoay vòng): xanh → vàng → đỏ → xanh → … bằng các nút điều khiển bên ngoài. Ban đầu, tất cả các bóng đèn trên bảng đều có màu xanh. Mỗi bước, ta chọn một ô vuông bất kỳ trong bảng và bấm các nút điều khiển sao cho bóng đèn tại ô được chọn và tất cả các bóng đèn nằm ở các ô cùng hàng, cùng cột với ô đó sẽ thay đổi màu một lần theo thứ tự trên. a) Có thể xảy ra trạng thái toàn bộ 16 bóng đèn trên bảng đều màu vàng được không? Nếu có, hãy chỉ ra cách thực hiện. b) Có thể xảy ra trạng thái chỉ có duy nhất một bóng đèn ở ô góc bên trái trên cùng của bảng có màu vàng và 15 bóng đèn còn lại đều màu xanh không? Hãy giải thích.
+ Cho tam giác ABC vuông tại A (AC /> AB). Gọi M là trung điểm AC, D và E lần lượt là chân các đường vuông góc hạ từ A xuống BM và BC. Gọi (O) là đường tròn ngoại tiếp tam giác ADC, N là giao điểm của BC và đường tròn (O) (N khác C), P là giao điểm của đường thẳng ED và đường tròn (O) (P khác D). Tiếp tuyến của đường tròn (O) tại C cắt đường thẳng AE tại Q. a) Chứng minh EDMC là tứ giác nội tiếp. b) Chứng minh NP là đường kính của đường tròn (O). c) Chứng minh QM vuông góc với AC.

Giải Toán đề chọn học sinh giỏi toán thcs năm 2025 – 2026 sở gd&đt huế với Đáp Án Mới Nhất
Toán học luôn là một môn học quan trọng, giúp học sinh phát triển tư duy logic và kỹ năng giải quyết vấn đề. Để hỗ trợ các bạn học sinh và giáo viên trong việc học tập và giảng dạy, bài viết này sẽ cung cấp lời giải chi tiết và đáp án chính xác cho chủ đề đề chọn học sinh giỏi toán thcs năm 2025 – 2026 sở gd&đt huế, giúp bạn hiểu sâu và tự tin hơn khi làm bài tập.
đề chọn học sinh giỏi toán thcs năm 2025 – 2026 sở gd&đt huế là một trong những phần kiến thức quan trọng trong chương trình toán học, thường xuất hiện trong các bài kiểm tra và kỳ thi lớn. Việc nắm vững phần này không chỉ giúp bạn đạt điểm cao mà còn tạo nền tảng vững chắc để học các nội dung nâng cao hơn.
Chúng tôi cung cấp hướng dẫn từng bước giải bài tập, bao gồm:
Mỗi bài giải đều kèm theo lời giải thích chi tiết, giúp bạn hiểu không chỉ cách làm mà còn cả lý do tại sao nên áp dụng phương pháp đó.
Tất cả các bài tập đều đi kèm đáp án mới nhất, được kiểm tra kỹ lưỡng để đảm bảo độ chính xác cao. Điều này giúp bạn tự kiểm tra kết quả và khắc phục lỗi sai một cách nhanh chóng.
Ngoài ra, bài viết còn cung cấp các tài liệu bổ trợ như:
Chủ đề đề chọn học sinh giỏi toán thcs năm 2025 – 2026 sở gd&đt huế là một phần kiến thức thú vị và hữu ích trong toán học. Hãy sử dụng bài viết này như một công cụ hỗ trợ để bạn chinh phục mọi thử thách trong môn Toán. Đừng quên ôn tập thường xuyên và luyện tập nhiều dạng bài tập khác nhau để thành thạo hơn!
Chúc các bạn học tốt và đạt kết quả cao! 😊
>> Xem thêm đáp án chi tiết về: đề chọn học sinh giỏi toán thcs năm 2025 – 2026 sở gd&đt huế.