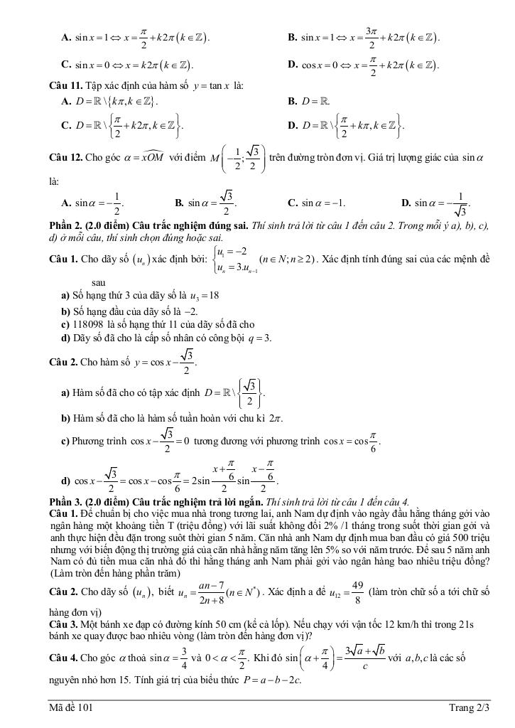
giaitoan.edu.vn giới thiệu đến quý thầy, cô giáo và các em học sinh đề kiểm tra giữa học kỳ 1 môn Toán 11 năm học 2025 – 2026 trường THPT Lý Tự Trọng, thành phố Đà Nẵng. Đề thi gồm 11 câu trắc nghiệm nhiều phương án lựa chọn (3,0 điểm) + 02 câu trắc nghiệm đúng sai (2,0 điểm) + 04 câu trắc nghiệm trả lời ngắn (2,0 điểm) + 03 câu tự luận (3,0 điểm), thời gian làm bài 90 phút, có đáp án và hướng dẫn chấm điểm.
Trích dẫn Đề giữa học kỳ 1 Toán 11 năm 2025 – 2026 trường THPT Lý Tự Trọng – Đà Nẵng:
+ Để chuẩn bị cho việc mua nhà trong tương lai, anh Nam dự định vào ngày đầu hằng tháng gởi vào ngân hàng một khoảng tiền T (triệu đồng) với lãi suất không đổi 2% /1 tháng trong suốt thời gian gởi và anh thực hiện đều đặn trong suôt thời gian 5 năm. Căn nhà anh Nam dự định mua ban đầu có giá 500 triệu nhưng với biến động thị trường giá của căn nhà hằng năm tăng lên 5% so với năm trước. Để sau 5 năm anh Nam có đủ tiền mua căn nhà đó thì hằng tháng anh Nam phải gởi vào ngân hàng bao nhiêu triệu đồng? (Làm tròn đến hàng phần trăm).
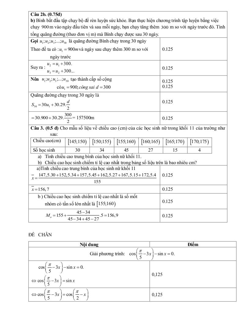
+ Bình bắt đầu tập chạy bộ để rèn luyện sức khỏe. Bạn thực hiện chương trình tập luyện bằng việc chạy 900m vào ngày đầu tiên và sau mỗi ngày, bạn chạy tăng thêm 300 m so với ngày trước đó. Tính tổng quãng đường (theo đơn vị m) mà Bình chạy được sau 30 ngày.
+ Cho mẫu số liệu về chiều cao (cm) của các học sinh nữ trong khối 11 của trường như sau: Chiều cao(cm) [145;150) [150;155) [155;160) [160;165) [165;170) [170;175). Số học sinh 30 34 45 27 15 4. a) Tính chiều cao trung bình của học sinh nữ khối 11. b) Chiều cao học sinh chiếm tỉ lệ cao nhất trong bảng số liệu trên là bao nhiêu cm?
File WORD (dành cho quý thầy, cô): TẢI XUỐNG










Giải Toán đề giữa học kỳ 1 toán 11 năm 2025 – 2026 trường thpt lý tự trọng – đà nẵng với Đáp Án Mới Nhất
Toán học luôn là một môn học quan trọng, giúp học sinh phát triển tư duy logic và kỹ năng giải quyết vấn đề. Để hỗ trợ các bạn học sinh và giáo viên trong việc học tập và giảng dạy, bài viết này sẽ cung cấp lời giải chi tiết và đáp án chính xác cho chủ đề đề giữa học kỳ 1 toán 11 năm 2025 – 2026 trường thpt lý tự trọng – đà nẵng, giúp bạn hiểu sâu và tự tin hơn khi làm bài tập.
đề giữa học kỳ 1 toán 11 năm 2025 – 2026 trường thpt lý tự trọng – đà nẵng là một trong những phần kiến thức quan trọng trong chương trình toán học, thường xuất hiện trong các bài kiểm tra và kỳ thi lớn. Việc nắm vững phần này không chỉ giúp bạn đạt điểm cao mà còn tạo nền tảng vững chắc để học các nội dung nâng cao hơn.
Chúng tôi cung cấp hướng dẫn từng bước giải bài tập, bao gồm:
Mỗi bài giải đều kèm theo lời giải thích chi tiết, giúp bạn hiểu không chỉ cách làm mà còn cả lý do tại sao nên áp dụng phương pháp đó.
Tất cả các bài tập đều đi kèm đáp án mới nhất, được kiểm tra kỹ lưỡng để đảm bảo độ chính xác cao. Điều này giúp bạn tự kiểm tra kết quả và khắc phục lỗi sai một cách nhanh chóng.
Ngoài ra, bài viết còn cung cấp các tài liệu bổ trợ như:
Chủ đề đề giữa học kỳ 1 toán 11 năm 2025 – 2026 trường thpt lý tự trọng – đà nẵng là một phần kiến thức thú vị và hữu ích trong toán học. Hãy sử dụng bài viết này như một công cụ hỗ trợ để bạn chinh phục mọi thử thách trong môn Toán. Đừng quên ôn tập thường xuyên và luyện tập nhiều dạng bài tập khác nhau để thành thạo hơn!
Chúc các bạn học tốt và đạt kết quả cao! 😊
>> Xem thêm đáp án chi tiết về: đề giữa học kỳ 1 toán 11 năm 2025 – 2026 trường thpt lý tự trọng – đà nẵng.